健康のための室内気候講座

Lesson 61 熱中症対策の決め手は「断熱」から。

 
猛暑の夏、増え続ける「熱中症」による緊急搬送者数。
 
「熱中症」は人体が高温の環境にさらされることで発汗が連続的におき、体内の水分量が減少することで、熱失神や熱痙攣などが症状化する健康障害です。
 


(写真)北洲ハウジングの高性能実験住宅。
 

ご存知のように、「熱中症」は重症化すれば死に至ることもある、危険な夏の健康リスクです。
 
今回は、家庭でできる「熱中症」対策について考えていきましょう。
 
 
 

 

「睡眠時熱中症」の予防対策は、屋根の「断熱」が決め手です。
 

夜になってもなかなか涼しくならない、二階の寝室。集合住宅の最上階。
 
日中の屋根や小屋裏空間の温度は、70℃を超えることもあります。
 
昼間の日射で熱くなった屋根からは、天井を通してジリジリと、夜中に日射熱が入り込んできます。
 
就寝中にエアコンをつけていても、放射で伝わる日射熱で寝室は危険な環境になり、就寝時熱中症を引き起こす事例も、年々増加傾向にあります。
 


 

「睡眠時熱中症」対策は、屋根の「断熱」が決め手。
 

近年、就寝時に熱中症を発症する、いわゆる「就寝時熱中症」が多発する傾向が注目されています。
 
就寝時には水分補給が不十分になりがちです。
 
高齢者の独居世帯では体調の不良を伝える手段もなく、周囲が気づいた時には重症化している、といった例が後をたちません。
 
「就寝時熱中症」の効果的な対策は、屋根から侵入してくる日射熱を効率よく抑えることです。
 
屋根の断熱強化こそが、「就寝時熱中症」対策の決め手なのです。
 


 

エアコンをつけていても、暑さを感じる「断熱性」の低い住宅。
 

新省エネ基準で規定されている断熱基準と、夏の室内の「暑さ」について考えてみることにしましょう。
 
日射による外壁の温度上昇を外気温に置き換えて(Sol Air Temperature)室内の体感温度を計算した結果を以下に示します。
 


 

エアコンの設定温度を25℃にして連続運転したとしても、4地域(南東北、甲信地方)の基準断熱レベル(UA=0.75[W/m2/K])の住宅では、外気温度が27℃になると、室内にいる人は「暑さ」を感じ始めることがわかります(晴天で日射がある時)。
 
一方、高性能住宅で採用されている断熱レベル(UA=0.37[W/m2/K])では、外気温度が37℃になっても、エアコンをつけていれば「暑さ」を感じることはありません。
 
住宅での熱中症リスクを効率的に抑制し、同時にエアコンの消費エネルギー量を防止するためには、「断熱」の強化という基本的な方法が最も効果的だと言えるでしょう。
 


(写真)屋根の断熱が、「熱中症予防」には不可欠です。(北洲ハウジング)
 

エアコンの設定は26℃。就寝時も、28℃連続が上限。
 

下の図は、人間の着衣量と活動量から至適温度を数値計算した結果です。
 
知的生産活動を効率的に行うためには、室温の上限値を26℃以下に維持する必要があります。
 
また、発汗を抑えて「就寝時熱中症」を予防するためには、エアコンを28℃以下に設定して、朝までつけっぱなしにすることが必要です。
 
エアコンを上手に設定、運転することも、熱中症予防には必須です。
 


 

冷房が嫌い、冷房するとだるくなるという方は、設定室温をもう少し低くして、長袖の寝具を着たり、布団や寝具を厚目に調節したりすると、「睡眠の質」も向上するでしょう。
 
科学的知見を上手に利用して、夏の生活をエンジョイしたいものです。
 


 (写真)快適な室内環境で、睡眠の質を確保しましょう。
 
 
 
  
室内気候研究所 主席研究員
工学博士 石戸谷 裕二
■公式 HP: https://iwall.jp
■ブログ:http://blog.iwall.jp
 

Lesson 60 夏を涼しく過ごすなら、まずは窓の「遮熱」から!

 
大きな「窓ガラス」のあるリビングは視覚的にとても開放的で、床面積がやや小さくても、自然を感じながら伸び伸びと、快適に暮らすことができます。
 
一方で、「窓ガラス」は壁に比べると断熱性能が低く、部屋の暑さの原因となる「日射熱」を透過する性質がありますから、熱的な弱点を理解した上で大きな「窓ガラス」のある、快適な室内空間を設計していく必要があります。
 


(写真)大きな窓のある、開放的な室内空間(設計・施工:北洲ハウジング)
 

「窓」の機能を正しく理解すると、快適な暮らしが見えてくる。
 

普段はあまり気にせずに生活をしていますが、「窓」には色々な機能が備わっています。
 
「窓」は視線や眺望を確保しながら周囲の自然や近隣と繋がる経路です。
外界の空気や音、日射などを透過したり、適度に遮蔽したりすることで、快適な暮らしをサポートする室内環境のフィルターの役割も果たしているのです。
 
窓の「通風」で涼をとったり、「遮熱」によって日射熱を遮断する方法をあらかじめ準備しておくと、夏の暮らしはより快適なものになります。
 
 

 
 
「日射熱」は、空気やガラスのような透明な物質には吸収されにくい。
 

夏の木陰は日向より涼しく、過ごしやすい。誰もが日常生活で経験する自然現象ですが、この性質が夏の室内環境と密接に関わっていることは、意外と忘れられがちです。
 
「日射熱」は光の性質を持っていますから、空気のような透明なものはすり抜け、木の葉や壁のような物体があるとそこで吸収されて、裏側には伝わらない、という性質があります。これが木陰の涼しさの原理です。
 
「窓ガラス」はほぼ透明ですから、窓が直接日射にさらされると熱は部屋の中へと透過して、床や壁などに吸収され、室温上昇の原因となってしまいます。
 


(写真)気温が同じでも、木陰に入ると涼しく感じるのはなぜ?
 

「冷房」が必要になる原因は、窓からの「日射熱」が第一位。
 

高断熱・高気密住宅の冷房需要を建築の部位別に計算してみると、下図のように窓経由で部屋に侵入する熱量が圧倒的に多く、これが夏の暑さの原因となっているのです。
 
日射受熱量が他の部位より多い屋根と比較しても、窓を経由して大量の熱が室内へと侵入熱がいかに多いかお気づきになるでしょう。
 
また、窓の内側に遮光カーテンをしても、一旦窓を透過した「日射熱」は部屋の内部で遮光カーテンや床などに吸収されますから、侵入した日射熱をエアコンで外へと排出するしか、暑さを和らげる方法はありません。
 
 

 
 
  
室内気候研究所 主席研究員
工学博士 石戸谷 裕二
■公式 HP: https://iwall.jp
■ブログ:http://blog.iwall.jp
 

Lesson 59 SARS-CoV-2が暗示する、ニューノーマルの課題。

 
変革が必要と言われ続けてきたものの、遅々として進まなかったIT技術を利用したリモートワークなどの働き方改革の推進など、将来的、社会的な課題が、新型コロナウィルスの感染拡大によって一気に進展してきた現在。
 
室内気候づくりに欠かせない室内の「温度・湿度」の維持管理の重要性や、適切な「新鮮空気の導入」と空気の流れに係る問題なども、当然のこととして語られるようになったのは、不幸中の幸いだったのかもしれません。
 
 

(写真01)天然素材に囲まれた、健康的で生産的な住宅内部の知的生産空間。

 

新型コロナウィルス感染症の拡大を予防するために、政府が示した「新しい生活様式」いわゆる「ニューノーマル」。
 
密閉、密集、密接の「三蜜」回避や、ソーシャルディスタンスの維持は、日常生活の中でも強く意識されるようになってきましたが、住宅を含めた建築空間のあり方にも大きな変革の時代が訪れようとしています。
 
 

(写真02)衝立と黙食が新しい常識になった飲食空間

 

ニューノーマルは、当たり前が優先される生活。
 
もともと経済用語だった「ニューノーマル」ですが、現在では「新型コロナウィルス感染症の拡大という大災厄を経験した新生活様式の変革が、常態へと遷移していく現象」、という意味で広く使われるようになってきました。
 
 

(写真03)アトリウムの公共スペースの利用も、すっかり様変わり。

 

従前は来日観光客から揶揄されることも多かった日本人のマスク好きですが、これも遠い昔の出来事のように感じられます。フランスでは、マスク着用の義務化に対する抗議活動が起きていますが、同時にマスク着用習慣が新しい生活習慣として世界的に定着してきたようにも思います。
 

密閉を避け、窓開け換気も普通に行われる時代に。
 
高断熱・高気密住宅の普及の前提として、2003年に義務化された24時間換気システムですが、その必要性を改めて知らせてくれたのもSARS-CoV-2でした。注目しなくてはいけないのは、換気量の最低基準です。
 
マンションや戸建て住宅では、部屋の中の空気を2時間かけて入れ替えるのが現行の最低基準量なのですが、コロナウィルスの飛沫感染を防止するにはこの量では不十分かもしれないと考えられるようになってきたのです。
 
 

(写真04)プライバシーの確保なしには、窓空け換気もできない。

 

もちろん学校の教室や講堂などの大空間、飲食店など大勢の人が密集する空間では、ウィルスの濃度を下げるために換気設備に加えて、窓を開けて換気を促進することが推奨されていますが、冬季間の換気による寒さ対策など、新たな課題も指摘されるようになってきました。
 

飛行機の中の空気は、意外にキレイだった件。
 
窓を開けて換気することのできない密閉空間の代表選手が、航空機のキャビンでしょう。飛行機に搭乗すると、機内アナウンスで十分な換気量が確保されている事を知らせてくれるようになりました。
 
一般的な旅客機は、上空のきれいな空気を大量に取りこみ、約3分で機内の空気がすべて入れ替わります。 航空機の換気回数は、住宅の40倍。
 
飛行機に乗ったら空調ノズルを自分に向けて、新鮮な空気が自分の周囲を常に流れるように調節して、飛沫感染を予防するのが常識化しています。
 
 

(写真05)航空機内の空気は、意外とキレイに保たれているのかもしれない。

 

消えたオーバーツーリズムと、病院の待ち時間。
 
コロナ感染が拡大するまで年間4000万人に迫る勢いだった訪日観光客ですが、街では外国人観光客を全く見かけなくなりました。
 
全国の有名観光地では生活文化の違いを背景とした軋みが拡散して、オーバーツーリズムが危惧されるほど社会問題となっていたのも、ずいぶん昔のことのような気がします。
 
自粛生活の影響は、病院の待ち時間にも現れています。診療時間に対して待合での待機時間の長さが日本の医療の大きな課題の一つとなっていましたが、院内での感染を避けるために受診を控える傾向が定着して、自然と待機時間が短縮されたのもニューノーマルの特徴の一つでしょう。
 
 

(写真06)人影もまばらなままの、新千歳空港のアトリウム。

 

ニューノーマル時代の働き方、そして住まいと暮らし。
 
新型コロナ感染症の蔓延によって学校や職場が突然閉鎖され、状況に押されるようにホームワークやリモート授業が開始されてからおよそ1年が経過しました。いつでも、どこでも仕事や学習ができる環境を整備していくという方向性は、社会的には共有され、今後さらに促進されていくものと思います。
 
高密度に人と情報を集積した、ガラス造りのオフィスで働くことが当たり前だったこれまでの社会ですが、新時代に住宅を含めた建築空間が持つ意味を、再定義することは、あながち不幸なことばかりではありません。
 
 

(写真07)都市に聳える、これまでの高密度執務空間の今後は?

 

住宅が本来担ってきた休息や団欒といった安寧行動に対する機能に加えて、学習や仕事などの緊張感を持つ精神行動を住宅に取り込むことによる課題に、いきなり直面することにもなりました。
 
 

(写真08)キッチンに学習スペースを設けると、安心して学習を見守れる。

 

家族全員が、お互いの行動を阻害することなく活躍できるような環境の構築。
 
スペースの広さばかりでなく、邸内騒音や明るさの確保、情報端末の充足度など、環境格差が如実に現れる状況に、怯んでいるいとまはありません。
 

行動様式の変化に、しなやかに対応できる「住まい」のあり方とは?
 
人生のステージが変化するたびに、柔軟に対応可能な環境を提供するのがパッシブ住宅設計の要諦であることは、従前から指摘されてきたところです。
 
 

(写真09)空間がいかに伸びやかで、柔軟であるかが生活の質をキメル。

 

新しい時代、ニューノーマルは建築や住宅の設計にどのような影響を与えるのか。コロナ禍が日本の住宅を変える契機になるのは、間違えようのない明確な事実のようです。
 

  
室内気候研究所 主席研究員
工学博士 石戸谷 裕二
■公式 HP: https://iwall.jp
■ブログ:http://blog.iwall.jp
 

Lesson 58 家庭内感染の予防には、まず温湿度の調整を。

 
 
1918年から21年にかけて世界中で大流行した、いわゆる「スペイン風邪」を想起させるようなパンデミックが、世界中を覆い尽くしています。すでに世界の死者数は65万人を超え、その猛威は衰える気配すらありません。
(註:この記事を作成した、2020年7月30日のデータです。)
 


(出典) https://vdata.nikkei.com/newsgraphics/coronavirus-world-map/
    (2020年7月30日現在)

 

家庭内感染が拡大しているという、衝撃的な事実。
 
国内での感染者数も毎日のように過去最高を更新し、都市部を中心とした感染の第二波が現実のものとなってきました。
 
特効薬やワクチンの開発までは、感染リスクの低減策としてマスクの着用やこまめな手洗い・うがいの励行、三密を避ける行動などの社会的な適応によって、新型のSARS-CoV-2感染から身を守る行動が推奨されています。
 
 また、感染経路が判明している症例のうちで、家庭内での接触による感染が急激に増加していることが危惧されるところです。
ここでは、これまで得られた最新の知見を参考にしながら、建築学的な方法で家庭内感染を予防をする方法について議論してみたいと思います。
 
 
SARS-CoV-2はエアロゾルでも生き残る。
 
新型コロナウィルスは感染者が空気中に放散した飛沫によって、人から人へと感染することが既に明らかになっています。
 
また、ドアノブや電話、電車のつり革などに付着したウィルスから、接触感染を起こすこともあります。
 
水分外殻が消滅したエアロゾルの状態や、様々な物質の表面に付着した後も、「相対湿度が40%以下の環境では長時間活性化し続ける」という研究成果が発表されており、生存時間は付着する物質によって異なるようです。
 


 
プラスチックやステンレスなどの表面では、付着後3日間もウィルスが生存し続けるという事実が、報道でも度々取り上げられているところです。
 
ウィルスが付着した後の活性維持時間が物質の特性に影響されるのですから、建築の内装材料選びも、これまで以上に注意を払わなくてはいけないということかもしれません。
 
  
感染力は、室温と相対湿度の影響を受けている可能性が高い!
 
新型コロナウィルスの活性化特性は、2002年に発生したSARS-CoV-1と類似の性質を持っていることが明らかになってきました。
 
さらに、活性化の傾向について、これまで確認されているインフルエンザウィルスとの類似性が指摘されています。中でも注目されるのは「相対湿度とウィルス活性化」との密接な相関関係です。
 


 
SARS-CoV-2 エアロゾルの活性化率試験の環境条件は22℃、40%RHですが、相対湿度をそれ以上にすると、試験中のウィルスが死滅して実験が成立しないということが条件設定の理由にもなっているようです。
 

室温の低下は、呼吸器疾患のリスクを高める。
 
イギリス保健省は住宅環境、とりわけ室温と健康リスクとの関係を疫学的に研究し、室温指針を明示的に公表しています。冬季間の室温維持の目標が、健康リスクとの関係で示されている貴重な情報と言えるでしょう。
 
中でも「室温による健康リスクの上昇」が危惧される室温を16℃と規定し、この室温以下では肺炎などの呼吸器疾患リスクが上昇すると警告しています。
 
SARS-CoV-2の発生如何に関わらず、「室温の下限値は16℃」であることを理解して、全室が最低温度を下回らないように維持管理することが必要です。
 


 

新型コロナ対策に有効な、建築環境の「至適範囲」は?
 
アメリカ国立感染症・アレルギー研究所から、ウィルス感染症と温熱環境に関わる重要な論文が公開されています。
 
相対湿度が50RH%以下の環境では、呼吸器官の気道上部にある粘膜の厚さが増大して繊毛の運動が抑制され、ウィルスに感染しやすくなるようです。
 
また湿度の低下によって気管上皮のアポトーシスも抑制されるなど、低湿度暴露によって人間の免疫システムが阻害されるというのです。
 
 

 

また、インフルエンザウィルスの活性化と周囲環境との相関関係における既往の研究を整理すると、我々がウィルスから身を守るために整えるべき室内環境の範囲が自ずと明らかになってきます。
不思議なことですが、冬季の人間の快適性の範囲はインフルエンザウィルスの不活性化範囲に一致しているようです。つまり人間が快適に過ごせる環境では、インフルエンザウィルスは活性化しずらいということです。
 
 

 

一年を通して快適な環境に室内を調整することのできる建築を手に入れることが、新型コロナ対策の入り口なのは明らかです。
 

樹脂系建材には、ウィルス活性時間を長くする特徴も。
 

前述のように、プラスチックに付着したウィルスの生存率が高いことを考慮すれば、内装仕上げには塩化ビニールを原料とする建材をできるだけ使わないようにすることも、感染防止に効果的であると考えられます。
漆喰やフィトンチッドなどの天然素材には、抗菌や防カビなどの効果が認められる材料も多く存在しています。ニューノーマルの時代には、古来からの知恵を生かした建材選びも有効かもしれません。
 
 冬はウィルス感染症が最も発生しやすい季節です。今からしっかり情報を整理して、家庭内感染のリスクを低減してみてはいかがでしょうか?
 


 
 
 
  
室内気候研究所 主席研究員
工学博士 石戸谷 裕二
■公式 HP: https://iwall.jp
■ブログ:http://blog.iwall.jp
 

Lesson 57 コロナウィルス対策も、やはり「断熱」から。

 
 
新型コロナウィルスによる感染症が猛烈な勢いで世界中に蔓延しています。米国、英国、イタリア、スペインなど欧米ではかつてないほど死者数が増加し、有効な治療法やワクチンが見出せない中、感染への脅威が世界中に拡散しているところです。
 
今世紀に入って20年で4度目となる新型ウィルスによる感染症の拡大ですが、人の移動速度が急激に増大している現代社会では、これからも同様の新型パンデミック現象の発生が予見されるところです。
 
十分な休養とストレスの排除で免疫力を高めたり、手洗いやマスク着用などの衛生的な生活習慣を普及させるなど、自助的な防衛策を国際社会全体で講じることはもちろんですが、建築環境サイドからの有効な防疫アプローチはないのでしょうか?
 
今回は、今後も起こりうるであろう「ウィルス感染症対策と室内環境」との関係について考えてみたいと思います。
 

 

 
室内を22℃、50%以上に維持すると、コロナウィルスは不活性化する!
 
アメリカの「アレルギー感染症研究所」の報告によれば、インフルエンザなどの常在ウィウス対策と同様に「室内の温・湿度を適切に維持管理」することで、新型コロナウィルスも不活性化できることが明らかになりました。(Lesson_56参照)
 
人間が快適と感じられる22℃、50%以上に室内環境を維持すると、ウィルス感染のリスクを低減するこというのです。あたかもウィルスが不活性化する領域を、人間が「快適」と感じているかのようにも見えてきます。
 
人間とウィルス感染症の歴史を垣間見るようで、偶然かもしれませんが大変興味深い知見だと思います。
 
一方、換気量を増加させることで感染リスクを低減しようとする研究が、日本建築学会の小委員会で開始されたところですが、ウィルス自体に働きかける方法ではありませんから、その効果は限定的ではないかと考えられます。
 
まずは室内の温度と湿度の管理を十分に行うことが、大切だということです。
 

 

 
室内を24時間快適に維持できる住宅は、どれくらいあるのか?
 
室内の温・湿度を維持しようとすると、まず頭に浮かぶのがエアコンと加湿器の使用ですね!でも、これらのアクティブ設備を運転すれば「家中の環境を一日中、目的の温・湿度に維持する」ことが本当にできるのでしょうか?
 
セントラルヒーティングが普及している北海道などの寒冷地域では、全館・24時間暖房が冬のライフスタイルとして当たり前になってきましたが、東京以西の温暖な地域では部分・間欠暖房が一般的で、使わない部屋、使わない時間は暖房設備を切っておく習慣が根強く残っているようです。
 
また、コロナ対策のために断熱性能が伴わない住宅で加湿をすると、いろいろな弊害が出てきそうなので、ここで改めて注意点をまとめておきたいと思います。
 
1) 「断熱」が不足している住宅では、結露害の発生に注意
2) 昼間の日射による過昇温で、相対湿度が低下する可能性あり
 
単純にエアコンと加湿器の使用だけでは、室内環境を維持するのも大変そうです。
 

 

 
22℃、60%の空気は、14℃以下の表面で結露してしまう。
 
現在施行されている住宅の「省エネルギー基準」に適合した窓の仕様と、表面結露の関係をグラフにして整理してみました。
 
人間が快適であると感じると同時に、ウィルスの不活性化が期待できる温・湿度の上限は「温度22℃、相対湿度60%」です。この空気は温度が14℃以下の物体に触れると、その表面で結露が生じます。
 
つまり省エネ基準に適合する窓ガラスを使っていたとしても、東京以西では外気温度が11℃以下になると、窓に表面結露が発生するリスクが高まることがわかります。
 
コロナ対策で温・湿度を維持するために暖房・加湿をしても、窓ガラスが結露して細菌やカビの温床になったのでは本末転倒と言えそうです。しっかりとした窓ガラスの「断熱」が、コロナウィルス予防にも不可欠だと言えるでしょう。
 
住宅のパッシブ設計を十分に吟味しておいた成果が、こんな時に役に立つのですね。
 

 

 
コロナ対策ができる日本の住宅は、何パーセントくらいあるのか?
 
コロナ対策のために室内環境を調整しようとしても、ガラス窓、壁や床、天井などの表面温度が14℃よりも低くなると加湿した水蒸気は、その表面で結露し始めます。
 
一日を通して室内の全ての表面温度が14℃以上に維持できる住宅は、どれくらいあるのでしょうか?
 
日本の住宅ストック 6,300万戸のうち、現行基準を満足しているものは5%にしか過ぎません。しかも基準仕様でも結露対策に不十分となれば、さらにその割合は低下してしまいます。高断熱・高気密住宅のさらなる進化が、不可欠だと言えそうです。
 

 

 
「蓄熱」「調湿」建材を施工したパッシブ住宅なら、コロナ対策も。
 
以前にも紹介しましたが表面結露とオーバーヒートによる湿度低下を抑制するために「蓄熱塗り壁材」を施工した高断熱住宅の室内環境を振り返ってみましょう。
 

 

 
札幌市にあるこの住宅は、熱損失係数は q=1.7 [W/m2/K]でトップランナーと言われる高性能住宅と比較すると、それほど断熱性能が高い住宅であるとは言えません。
 

 

 
子供室や主寝室は、吹き抜けの開放的な居間に連続して配置されておりワンルーム型の空間構成となっています。暖房方式には蓄熱暖房器一台で全空間を温める方法が採用されており、制御性には欠けるものの終日放熱を実施することができます。
 
約半年間の測定中、日射熱取得の多い日でも室温は安定していることがわかります。また、加湿器を使用しなくても生活で発生した水蒸気を壁が呼吸することで、相対湿度がコロナ対策に有効な快適範囲に維持できています。
 

「断熱」は住宅のレジリエンスを支えている。
 
これまで住宅の高断熱化は「省エネルギーの手法」という尺度で評価されることが多かったのですが、コロナウィルスの感染対策として室内環境調整が脚光を浴びる中で、その評価も著しく変化しようとしています。
 
家族の健康管理はもとより、移動制限が要請される中でテレワークの必要性も注目されており、住宅内での感染症対策も喫緊の課題となっています。感染症が拡大している今だからこそ見直すべき住宅の性能とは何か、もう一度考えてみるチャンスではないでしょうか。
 

 
 
<参考文献> (国際政治経済学者・浜田和幸)

 アメリカの「アレルギー感染症研究所」「国立衛生研究所」「国防総省先端技術開発庁」「全米科学財団」などの委託を受けて行われた「COVID-19(新型コロナウイルス感染症)媒介物報告書」がまとまった。
 
(中略)
 
更にこの報告書によれば「ウイルスは空気中であれば3時間は生存するが、銅製品の表面であれば4時間、厚紙の表面では24時間、プラスチックやステンレスの表面の場合には2~3日にわたって生存すること」が確認された。

 その一方、弱点があることも明らかになった。それは湿度に弱いということだ。加湿器を使い、湿度50%でカ氏72度(セ氏22.22度)にすれば、ウイルスの活動が収まることが判明したという。
 
https://headlines.yahoo.co.jp/hl?a=20200314-00000024-nkgendai-life
 
 
  
室内気候研究所 主席研究員
工学博士 石戸谷 裕二
■公式 HP: http://iwall.jp
■ブログ:http://blog.iwall.jp
 

Lesson 56 湿度管理で、コロナウィルスを不活化しよう。

 
 
中国武漢市から拡散した新型コロナウィルスによる肺炎が、猛威をふるっています。2003年のSARS発生の時よりも中国国内や海外を往来する人口が激増していますので、日本国内の人・人感染もさらに増加していくでしょう。
 
 
室内の相対湿度管理で、ウィルスを不活性化しよう。
 
新型ウィルスに対する有効な治療薬やワクチンはまだ開発されていません。
不要な外出、人混みなどの3密を避ける。手洗い、うがいを励行しマスクを着用する。十分な栄養の摂取して、休養による免疫の維持確保を図る。
 

 

 
一般的なウィルス感染症に対する予防措置が、今の私達にできる最善の防護策と言えるのかもしれません。
 
一方で、コロナウィルスは相対湿度を40~60%に維持すると不活化させることが明らかに。室内の湿度調整が、感染防止にも有効だということです。
 

 

 

室内を乾燥や多湿から守ってくれる、天然素材の調湿建材。
 
外気の乾燥に伴って、どうしても室内が乾燥しがちな冬。植物に水をあげて蒸散させたり、洗濯物を室内で乾燥させたり。でも、暮らしの工夫だけでは、なかなか湿度は維持できないのは、どうしてなのでしょう?
 

暮らしの中で発生する水蒸気の量は、1日20リットル!
 
生活実態調査によれば、4人家族で生活している住宅で毎日発生している水蒸気量は、20リットルにも達すると言われています。2リットルのペットボトルで10本分も毎日発生する水蒸気は、どこに消えていくのでしょうか?
 
塩化ビニール製のビニールクロスで覆われた室内の壁や天井には、水蒸気を吸収・放散してくれる機能が全くありませんので、水蒸気は換気によって屋外へと排出されてしまいます。
 
この排出される水蒸気を、積極的に利用する方法なないのでしょうか?
 

 

 

古くから土蔵などの壁に使われてきた漆喰や珪藻土などの天然素材が、湿度を調整する機能を持っていることは広く知られています。そして建材が持つ調湿性能を客観的に評価する基準が、調湿性能判定基準です。
 

 

 
上の図をご覧ください。断熱材を使った2個の小箱の内側に調湿建材とビニールクロスを各々貼り付けて、調湿性能を比較。茶碗1杯分のお湯を箱の中に入れて、内部の相対湿度の変化を観察してみました。
 
赤の線が調湿建材の箱、青の線が一般的に内装で使われているビニールクロスの箱の相対湿度の変化です。
 
ビニールクロスは合成樹脂でできており、水分を吸収することができませんから、茶碗を入れると同時に相対湿度が急上昇します。写真では見づらいのですが、箱の前面に設置した塩化ビニールの板には結露が発生。真菌、カビ、ウイルス生育の原因にもなる、相対湿度60%以上の環境となってしまいました。
一方、調湿建材を貼り付けた箱では設置直後に相対湿度がやや上昇しますが、その水蒸気を壁が自然に吸収。機械的な制御をすることなく、人間の快適範囲である40から60%の環境に整えてくれます。自然の摂理の不思議さです。
 

室内の水蒸気を呼吸して、自然に調湿する調湿建材の採用が効果的。
 
壁や天井に蓄えられた水蒸気は、室内が乾燥してくると壁から放散されて湿度を調整してくれます。安定した湿度環境を、機械を使うことなく上手に調整してくれるのです。加湿器の使用で懸念される水蒸気過多による結露の被害も、調湿建材なら心配はいりません。もちろん電気代もフリーですね。
 

 

 
調湿建材を施工した室内の温湿度環境の実測データを上図に示しました。どちらも加湿器を使用していないのですが、調湿建材を採用した室内では温湿度が健康的な範囲内に維持できていることが明らかになりました。
手入れの容易さ、経済性、施工の手間の簡略化など、生活者ではなく施工側の都合で徐々に排除されてきた土壁が持つ機能。便利さの追及で、機械に頼らない生活が、どんどん手の届かないところへと追いやられていませんか?
 
コロナと共生する時代に、先人たちの生活の知恵を現代に生かす。
 
ウィルスの不活化と室内の健康環境を考えるとき、自然素材を使った調湿建材には大きな可能性がありそうです。
 
 

 
  
室内気候研究所 主席研究員
工学博士 石戸谷 裕二
■公式 HP: http://iwall.jp
■ブログ:http://blog.iwall.jp
 

Lesson 55 パッシブ設計が、健康な生体リズムを創る。

 
 
「室内に自然の穏やかな変化をデザインする」。
 
健康に優しいパッシブ環境設計の要諦は「変化とリズム」の創出です。
 
自然の変化に柔軟に適応することは、生物にとって何よりも大切なな能力です。人間はいつも自然から刺激を受けていますが、とりわけ地球の自転や公転周期に起因する日射量の変化が支配的だと言えるかもしれません。
 

 
 
質の高い睡眠と健康には、高い相関関係が!
 
近年になって「睡眠の質」と健康との関係が注目されるようになってきましたが、睡眠の質には生体リズムが深く関与してます。
規則正しい生活によって体内時計を正確に維持することが不可欠なのですがが、ここでは照明と健康との関係について考えてみることにしましょう。
 

 
 
人間の新陳代謝が夜間に活性化するワケ?
 
太陽光に含まれる紫外線は化学線とも呼ばれ、生物を構成しているタンパク質の化学的構造をも変化させるほどの強さと機能性を持っています。布団を天日干しにすると、細菌やダニまでもが死滅してしまうほどの威力なのです。
 

 
その紫外線から細胞内のDNAを保護しつつ、傷ついた細胞の修復や再生を安全に行うため、私たちの体中では夜間にだけ新陳代謝が行われています。
 

 
生体内での化学反応を制御する酵素や免疫細胞の生産・修復も、同じ理由で睡眠中にのみ活性化するのです。
 
子どもの発達に欠かすことのできないヒト成長ホルモンが、夜間の睡眠中にのみ分泌されるのも同様の理由です。古来、寝る子は育つのです。
   
「睡眠時間」は昼間の活動で疲弊した脳と肉体を休めるばかりでなく、生体の持続可能性を高めるための貴重な時間です。摂取した栄養を原料に、生体として新しい自分へと生まれ変わるためには睡眠は不可欠なのです。
 
特に午後10時から午前2時までの時間帯にどれだけ良質な睡眠が得られるか、健康のカギを握っています。免疫の活性化はガン細胞の増殖を抑え、風邪をひきにくい体を維持するためのカギを握っています。
 

メラトニンの分泌停止には、朝の陽光と寒気浴が効果的。
 
睡眠と覚醒を司っている物質、それは「メラトニン」です。前述のようにメラトニンの分泌にも体内時計(サーカディアン・リズム)が関与しています。
 
質の良い睡眠を十分に取った朝には爽快で気持ちの良い目覚めが待っています。十分な睡眠を取り免疫細胞の活性化させたなら、睡眠を誘導する物質「メラトニン」の分泌を速やかに停止させましょう。
 

 
スムースな覚醒を引き起こして活動的な状態を生起させるには、朝陽と新鮮な空気をたっぷりと吸う寒気浴が効果的です。約1,500 [lx]程度の朝陽を浴びると脳は再び活性化の準備を始めます。
 
特に幼児期にはサーカディアンリズムの発達が不十分ですから、この習慣を乳児期から身につけておくことが健康と成長の秘訣になります。起床後いつまでも新陳代謝を引きずることは、遺伝子の損傷を促進し免疫の不活性化の要因ともなりますので注意しましょう。
 

学習や就業には、色温度が高めの白色照明が向いている。
 
学習効果や仕事の効率を高めるためには、比較的色温度が高めの白色光が好適です。太古から人間は自然光の中で狩猟や採取などの活動をしてきましたので、自然光に近い白色光は緊張や集中力を高める効果があるのです。
 
逆に言えば、白色光で深夜まで残業を繰り返すと緊張している時間が著しく超過して睡眠負債とストレスを招き、新陳代謝という睡眠の重要な役割を阻害してしまいますので、注意が必要です。
    

メラトニン分泌のスケジュールに合わせた環境調整が必要。
 
メラトニンが分泌し始めるのは午後10頃ですから、これまでに睡眠の準備が整っている必要があります。また睡眠の導入には人間の深部体温(コア体温)が低下傾向にあることも欠かせません。就寝前にぬるめの湯に浸かり深部体温を十分にあげておくと、スムースに深い睡眠へと移行することができます。
 

 
また就寝までの時間帯には色温度が比較的低めの暖色系照明が効果的です。
仕事を終えてから徐々に照明を暖色に調色して光量を抑え、自分が休息に向かっているというシグナルを脳に与えることで、睡眠導入への効果は一層高まります。
 
終業時間の間際には光量を抑えた暖色に事務所を調光します。夕食や団欒のひと時にも家庭内の調光色を継続してください。
 

 
永く照明の主役だった蛍光灯の光は色温度が高く仕事には向いているものの休息には不向きだったため、最近の住宅では調光・調色可能なLED照明への置き換えが進んでいます。また、間接照明の利用もリラックスには効果的です。
 
欧州ではキャンドルやペンダントライト、暖炉の灯りなど、自然な照明が文化として定着しているのも、このような理由によるものでしょう。
 
人間の生活習慣は数百万年もの間、自然のリズムとりわけ太陽の運行を基調として定着してきました。そのリズムに適応できなかった種は残念ながら自然に淘汰され、我々の祖先だけが生き残ったと考えることもできそうです。
 
1日の始まりと終わりを知らせる朝陽や夕日の茜色。日中の太陽の眩いばかりの光量と夕暮れ時のぼんやりとした薄暗さ。自然に習い、自然に生きる。人間の健康とはそんな生活の中で育まれていくのではないでしょうか?
 

 
室内での活動が長時間化し、さらに高度化している現代人にとって照明の選
択と調節はますます重要性が増してきています。とりわけ子供の成長と健康維持には、生活のリズム維持が不可欠だと言えそうです。
 
 

  
室内気候研究所 主席研究員
工学博士 石戸谷 裕二
■公式 HP: http://iwall.jp
■ブログ:http://blog.iwall.jp
 

Lesson 54 窓に必要な「ガラス」の性能は? その2

 
厳しい冬だからこそ、緑の植栽で生命力をを感じたい。
 
中世のバイエルン王も、その建設を熱望したといわれる、ガラス温室「オランジェリー」。現代では素材技術の進歩と透明天蓋空間の普及で、誰もがいつでも緑と共に過ごし、その魅力を享受できる時代が到来しました。
 
 


(写真)釧路市のフィッシャマンズワーフに併設されたガラス空間「EGG」
 

 
もちろんこの空間の主役は植物であり、人間はそこを通過するか短時間滞在するだけの存在です。植生の生育条件によっては温度変化の幅に制限はあるものの、光合成に必要な日射量は外界の変化をそのまま受け入れるだけでよく、積極的に調整される必要はありません。つまり植物の健全な成長には好適な環境の生成が、ガラス温室の設計条件となります。
 



(写真)通年で植栽の魅力を感じることのできる、ガラス歩行空間
 

 
現代では食物の生産工場にもこの技術が生かされるようになり、知らず知らずのうちに「オランジェリー」が私たちの生活の中に定着するようになってきました。いわゆる、ガラスを用いた植物のための環境技術の創生です。
 

人間の健康にとって必要な環境は、ガラス建築で創生可能なのか?
 
開放的で光に満ちた室内空間。確かにオランジェリーは光と自然に満ち溢れています。 軸組構造の「間戸」に板ガラスを採用しようとする試みは、その発生の歴史から考えてもごく自然なことでした。
しかし四季の気候較差が大きな日本の気候では、透明な窓から得られる開放感だけでは相殺できないほどの環境劣化が、開口部のガラスによって引き起こされてしまうことも、容易に想像ができます。
 
夏の暑さや冬の寒さ。機械とエネルギーによるアクティブ環境調整では解決できない不快感が醸成される空間も少なくないようです。
 



 (写真)カーテンを閉めておくことを前提にした、開口部のデザインが乱立。

 
 
ガラス被覆空間に必要なのは、断熱性能だけなのか?
 
開口部を断熱性能の脆弱なガラスで被覆することによって生じる寒さの室内への侵入や隙間風や結露を防止するため、建具を含めたガラスの熱性能向上に資する技術の開発が多方面で図られてきたことは言及する必要もないでしょう。
 
 一方で、ガラス面に入射する日射量は季節変動が大きく、また室内側での日射需要量は季節依存性が高いことから、断熱性能の高度化が一定の水準に到達すると日射透過量の調整が新たな課題として顕在化することになりました。
 
 


 (写真)フランクフルトの住宅展示場で常設されている、ガラス建築の例

 

深い軒の庇や外付けブラインドなどの日射調整機能を持たないガラス被覆建築では、いきおい日射遮蔽性能の高いガラスを採用することになりますが、日向にいても温かく感じることのできない室内環境の違和感は、静的なガラスの性能だけでは払拭することができません。
 
 


(写真)窓は、「ウチ」と「ソト」をつなぐ情報の結節点として機能している。
 

 
日射調整のために眺望を犠牲にするのは、
窓の機能の半分を諦めることに等しい。
 
 
窓ガラスの面積が大きくても、日射調整やプライバシー確保のためにカーテンやブラインドを常に閉じておく必要があるとするなら、結果として閉鎖感の強い室内環境を恒常的に創生することになってしまいます。
 
 


 (写真)視界を意識した現代住宅の「窓」(設計・施工:北洲ハウジング)
 
 

プライバシーを確保しながらも窓ガラスから入射する太陽光の量を調節するための工夫が、現代の建築デザインでは大変重要な要素になっています。
 
京都に代表される町屋建築に見られるような坪庭のように、「ウチ」に向かって開放するという伝統的な都市建築の発想を、もう一度見直してみる必要もありそうです。
 



(写真)プライバシーの確保に配慮したウチとソトをつなぐ窓
(設計・施工:SUDOホーム)

 
 
断熱、日射取得量の任意な調整、
そしてプライバシーの確保をどう実現するのか?
 
外界と完全に隔絶される可能性のある組積造建築では、外皮に穿たれる開口部が光と空気を取り入れるための大変貴重な経路であり、その拡張を希求しながら建築技術は進歩してきました。
 
 
一方で、大開口が比較的得やすい軸組工法でガラスを用いるとき、断熱性能に加えて日射やプライバシー確保など、経時的に変化する住要求に対応するデザインが不可欠になります。窓ガラスには、断熱性以外にも重要な課題がまだ残されているようです。
 
 


(写真)大屋根の深い庇による、外部日射遮蔽のデザイン
(設計・施工:北洲ハウジング)

 
 

  
室内気候研究所 主席研究員
工学博士 石戸谷 裕二
■公式 HP: http://iwall.jp
■ブログ:http://blog.iwall.jp
 

Lesson 53 床の材質選びが、ヒートショックの原因になる?

 
住宅内での「ヒートショック」といえば、浴室やトイレなどの非居住部分の室温が、快適範囲よりもかなり低い時に起きる「健康リスク」を思い浮かべるのではないでしょうか?

 

では室温さえ快適な状態に維持されていれば、ヒートショックは起きないのでしょうか?今回は、素材選びにまつわる健康問題に迫ってみたいと思います。

 

住宅の素材選びは、何を優先させるべきなのかもう一度考えよう。

 

住宅の内外装を問わず、仕上げに使用される素材の選択は意匠設計の重要な部分を占めています。また、耐久性の高い素材はお手入れも容易で、美しさを長く保ってくれるので、住み手に取っても大変重宝しますね。

 
 

素材感は空間デザインを決定づける重要な要素の一つなのですが、素材選びと健康リスクの関係は、意外と見過ごされがちなようです。

 

生活様式とも密接に関係づけられる素材選び。今回は床の素材選びに注目しながら、素材と健康リスクの関係について考えてみましょう。

 


同じ温度でも、素材によって変わる接触時の温感。

 

部屋の中に設置されているテーブルを、思い浮かべてみてください。ひんやり冷たく感じる素材と、そうではない素材があることに気がつきませんか?

 
 

「木のぬくもり」と言いますが、まさに言い得て妙ですね!
スティールデスクに比べると、同じ温度でも木のテーブルの方が暖かく感じるものです。理由はどこにあるのか、もう少し物理的に考察してみましょう。
机と接触した手のひらが冷たく感じるかどうかは、手から机へと移動する熱のスピードが関係しています。

 

熱のスピードが早ければ早いほど冷たく感じますし、ゆっくりならば暖かく感じるのです。まさに素材選びは、人間の温熱感と密接な関係があるのです。

 


意外と知らない、足裏温度と血圧の関係。

 

素足の足裏温度は27℃と、誰でもほぼ同じ温度なのですが、素足で床と接触した時に、足裏から逃げる熱のスピードが「ヒートショック」の原因になることはあまり知られていないようです。

 
 

足の裏が床に触れて冷たいと感じるのは、熱が床へと移動して足の裏の温度が急激に低下して冷たくなっている証拠です。
また、足裏の温度が3℃低下をすると、血圧は瞬間的に 30〜60 mmHg も急上昇すること言われています。

 

いわゆる「足裏温度のヒートショック現象」です。

 

健康な人であれば耐えられる血圧上昇も、動脈硬化が進んだご長寿さんにとっては大問題!浴室で脳血管障害を発生する健康リスクが、場合によっては高まることになるのです。

 
 

木材に接触した時の足裏から床へ流れる熱流を100とすると、大理石やタイルなど比較的熱を通しやすい材料に接触した時の熱流は450にも上ります。

 

大理石やタイル仕上げの部屋では、床暖房を設置して床表面を23℃程度に保ったとしても、熱流は木材の時の2倍にもなることから、素足で接触する可能性のある場所への使用は避けたいものです。

 

床の材質と、足裏温度の降下度を計算して比較してみましょう。

 

一般的な断熱仕様の居室では、室温が20℃に設定されている時、床の表面温度はおおよそ18℃程度になっています。

 

先ほども言及したように、足からの熱移動速度は床に使用されている材料の熱的特性に関係しているのですが、ここでは素材ごとに足裏の接触面温度を予測してみることにしましょう。

 
 

大理石や、コンクリート、タイルなどは耐久性に優れてはいるものの、熱伝導率が比較的高いので足裏からの熱移動も速度が高くなってしまいます。室温が20℃でも素足で接触した直後には、血圧が上昇する危険温度の目安である足裏温度24℃を、あっという間に下回ってしまうことがわかります。
一方で、畳やカーペット、木材など、比較的熱伝導率の低い材料では温度降下のスピードも緩慢で、足裏温度が低下する時間を稼ぐことが可能なのです。

 
 

住宅内で素足で歩く可能性がある脱衣室やトイレなどでは、床に使用する材料にも注意する必要があります。また、マットやラグなどを効果的に利用することで、足裏温度低下によるヒートショックを防止していきたいものです。

 
【Good Design Award 2018受賞】
  
室内気候研究所 主席研究員
工学博士 石戸谷 裕二
■公式 HP: http://iwall.jp
■ブログ:http://blog.iwall.jp
 

Lesson 52 窓に必要な「ガラス」の性能は? その1

 
断熱は、省エネルギーから「健康」へと軸足を移しつつある。
 
昭和55年「省エネルギー基準」の施行から始まった日本の高断熱・高気密住宅の歴史は、エネルギー消費量の削減を目標とした規格適合への技術的な進化の時を経て、健康という新たな「価値の創生」の時代を迎えようとしています。
 
平成11年に公示された基準では、外皮性能は断熱性能の平均値で規制が行われるようになり、断熱性の弱い開口部、とりわけガラスが使用される「窓」の機能とデザインの見直しが急務になってきたと言えそうです。
 

(写真)窓面積を狭小化することで、見かけの断熱性能を高めた住宅が増加している

 
今回から、窓の機能を十分に発揮させるために必要なガラスに期待される性能と、生活に密着した将来像について考えてみることにしましょう。
 
 
ガラス建築の原点は、第1回ロンドン万国博覧会のパビリオン。
 
建築の「ウチ」と「ソト」をつなぐ透明な建築材料である「板ガラス」は、1854年、第1回ロンドン万国博覧会において建設された「クリスタルパレス」で具現化され、多くの人々を魅了しました。
 
伝統的な組積造建築の閉鎖的な室内環境へのアンチテーゼとして、その後の建築思潮に大きな影響を与えることになった「水晶宮」は、その後欧州で流行するオランジェリーなど、ガラス建築の先駆けとなったのです。
 

(写真) ドイツのバイエルン王も憧れたガラス温室「オランジェリー」

 
ライトアーキテクチャーの隆興とともに、今では私たちの生活の中にしっかりと根付いた感のある「ガラス建築」は、光や熱の透過性能ばかりでなく建築表現の手法としても飛躍的な進化と発展を遂げて来ました。
 
建築の外皮に革命をもたらした「ガラス」は、その後の建築文化に大きな影響を与えたばかりでなく、すでに生活の隅々まで浸透していると言えそうです。
 


(写真)「金沢21世紀美術館」の、軽快なガラスのファッサード

 
 
現代建築では、室内と外界とをつなぐ「マド」が重要な役割を!
 
一方、伝統的な建築手法を見直しながら、敷地の気候や風土と積極的に共生しようとする建築運動も世界的に幅広く支持され、持続可能性の観点から外皮が持つべき機能や性能について今も議論が続いています。
 
いわゆる「リージョナリズム」と言われる建築運動です。
 
建築設備の高度化や、エネルギー革命を背景とした「インターナショナリズム」の台頭は、膨大なエネルギー消費によって建築環境を制御しようとする、いわば「力ずくの建築」が蔓延する原因ともなってきました。
 
東京やニューヨークなど、世界中の大都市を睥睨するかのように屹立するスカイスクレーパー群は、人間のスケールを遥かに超えた巨大構造物であり、人々の憧憬の対象にもなっています。しかし、持続可能性を無視した傲慢にも見える建築は、これからも支持され続けるのか疑問に感じる人も多いでしょう。
一方で地域の気候風土に根ざし、伝統的に用いられてきた建築材料や構法を発展的に継承した建築が、敷地にどっしりと根を張りながら今も息づいていることは、建築の多様性の観点からも歓迎されるべきだと思います。
 
二つの対照的な建築潮流の差異を決定づけているものは何か?開口部、とりわけ窓の解釈や対応の違いに起因していることは間違えなさそうです。
 


(写真)伝統的な建築手法を駆使した、沖縄県立美術大学の環境ファッサード

 

建築の構造と不可分な「開口部」のデザインと「マド」の意味。
 
視線や眺望を確保し、空気や日射の経路ともなる「マド」に要求される機能は下に示した図のように定義することができます。
 
常に変化する外界の環境要因と居住者の住要求に対して、柔軟に対応することが可能な開口部のデザインは、快適で健康的な室内環境を創生するという観点から、重要な鍵を握る技術と言えそうです。
 

 
自然に対して開放的な日本の伝統的な軸組工法では、風雨から身を守るために柱と柱の間をどのように閉鎖するかという課題を解決するため、障子、襖や鎧戸など様々な建具が開発されてきました。いわゆる「間戸」の開発です。
 


(写真)開放的な室内環境を支える、伝統的な日本建築の「間戸」

 

外界気候の変化を享受しながら、建築外皮を柔軟に変更することで室内環境を創生しようとする建築は、ライトやコルビジェにも大きな影響を与えました。
 
一方柱間の建具を季節とともに交換して暑さや寒さ備えるには、手間もかかりますし、何より建具を収納するためのスペースが必要になります。
 


(写真) 賓客をもてなす時以外は、雨戸が降ろされた岡山城後楽園の能舞台

 
敷地面積が限られる現在の住宅事情を考えると、柱間の素材を季節とともに変更するという伝統的な季節への対応手法が支持されなくなったのも、致し方ないことなのかもしれません。
 

開口部を穿つことに先端を結集してきた「組積造」建築の進化。
 
軸組工法では柱間を塞ぐ手法で変更できた「マド」のデザインですが、組積造を中心に発達した欧州の建築では、随意に開口部を大きくすることは非常に困難でした。いかに窓を大きくして、光と空気を取り込むか。
 


(写真)ハイデルベルク城の城塞に穿たれた明かり取りの小さな窓

 

内部に光と空気を導いてくれる開口部を、少しでも大きく空けたいという欲求は、古来から建築技術者の目標とされてきたことは想像に難くありません。
 


(写真)神の象徴である光を取り入れる、パンテオンのドーム頭頂開口

 
 
「マド」のデザインに内包された、二つの系譜。
 
軸組工法を基礎として発展してきた日本の住宅建築の未来の「間戸」。健康な生活を送るために、窓にはどのような要求があり、どのような機能が必要になるのでしょうか?
 


(写真)外付けブラインドのある、断熱改修を施した集合住宅の外観(ドイツ)

 
時間とともに変化する外界環境と住要求に柔軟に対応することが可能な、未来の「間戸」について、次回以降も考えていきたいと思います。

 
 
室内気候研究所 主席研究員
工学博士 石戸谷 裕二
■公式 HP: http://iwall.jp
■ブログ:http://blog.iwall.jp
 

Lesson 51 高断熱住宅の先にある、健康住宅のデザインとは?

 
高断熱・高気密住宅の普及によって「寒中症」や「熱中症」で亡くなる方が激減し、健康先進地域の仲間入りを果たした北海道ですが、住宅デザインをめぐる新たな課題が生まれつつあるようです。
 
窓の面積を小さくすると、本当に生活満足度は向上するのか?
 
住宅の断熱性能は「平均外皮熱貫流率 UA で表示する」のですが、この数値だけが一人歩きをすることで、断熱が本来目指すべき住環境を無視した、断熱性能の競争が始まってしまいました。
 
 

(写真)南側の窓の面積が、どんどん小さくなっている札幌の住宅街区

 
 
それは断熱仕様を変えずに、外表面積当たり熱貫流率の平均値を小さく見せる方法があるからです。熱貫流率が壁に比べると大きな「ガラス窓」の面積を狭小化することで、見かけ上のUA値は小さくなるのです。でも、窓を小さくすると室内からの眺望は悪くなりますし、冬季の日射取得熱量は減少します。
 
どうして窓を作るのか? 熱性能は、窓に必要な機能に優先する?
 
こうした、開口部に関する基本的な考え方が重要になってきますね。
 
 

(写真)北洲「プレミアム・パッシブハウス」の居間からの眺望

 
 
室内のプライバシーを守りながら、自然とどう繋がるのか?
 
住宅地の都市化と宅地の狭小化によって、居間からの眺めはどんどん狭められています。居住者にとって庭の自然と視覚的に連続した居間で過ごす時間は、自然との連帯を感じることのできる貴重な安息のひと時ですなのですが。
 
 


(写真)ウッドデッキで庭と繋がる暮らし:北洲「プレミアム・パッシブハウス」

 


(写真)外構と建築の融合が、暮らし方を変える

 
 
プライベート空間と前面道路など、公共スペースとの視覚的分離が課題

 

いくら南面に広い窓を確保しても、プライバシーを確保するために年中カーテンを閉じていたのでは、窓の持つ眺望の確保や日射熱取得という重要な機能を十分に発揮することはできません。
 
 


(写真)ウチソト空間への開放感が広がる、SUDOホーム「MCH24」

 
 
居間に連続したウッドデッキと、遮蔽度を適度に調整した外構を計画すること。
 
床面積に左右されがちな室内空間の広がり感ですが、ウチソト空間との連携によって個を保ちながら視覚的に広がりのある伸びやかな空間へと、生まれ変わることができるのです。
 



(写真)SUDOホーム「MCH24」 居間から連続したウッドデッキの開放感

 

プライバシー確保と公共空間があたかもグラデーションのように連携する空間は、伝統的な民家に見られる「縁側」の持つ機能の再生なのかもしれません。
 
カーテンレスでも生活できる空間を確保することで、冬季の日射取得を有効に利用する。高断熱・高気密住宅の先に見える、新たな空間構成が注目を集めそうです。

 
 
 
 
 
室内気候研究所 主席研究員
工学博士 石戸谷 裕二
■公式 HP: http://iwall.jp
■ブログ:http://blog.iwall.jp
 

Lesson 50 汚れた空気は希釈するか、置き換えるか?

室内の空気質は、健康や知的生産性の向上の鍵を握る存在です。また、新鮮空気の導入のための「換気」は建築にとって死活問題であり、普段はあまり目立たない空調設備がその役割を担ってきたことも、お話ししました。
 
今回は、空調設備を使った換気手法について、もう少し詳細に考えてみることにしましょう。
 
汚れた空気を排出するためには、二つの換気手法があります。
 
すでに議論したように、生産性が高く健康的な生活を送るためには、生活環境の空気質を清浄に維持することが欠かせません。
 
 


<写真> ドイツの展示場第ホールに設置された空調の吹き出し口

 

建築空間では、良好な空気質を担保してくれるのが換気設備なのです。ところで換気の考え方には、二つの大きな潮流があるのをご存知でしょうか?
 
一つめ方法は汚染物質で質が低下した空気を、外部から取り入れた新鮮空気と混合して汚染を希釈することで、汚染濃度を低減しようとする考え方です。一般に「混合換気」と呼ばれています。
 
室内の汚染物質の濃度は汚染物質の発生量を予測し、新鮮空気の導入量決定することで比較的容易に管理できますので、あとは効率よく撹拌混合が進むように吹き出し気流速度を高めに設定すれば良いのです。
 
でも、いくら新鮮空気量を増やしたとしても汚染物質の濃度はゼロにはなりません。あくまで限りなく低減されるだけだということに注意が必要です
 
温風や冷風が体に吹き付けられるのを感じた時には、ほんとんどの場合「混合換気」が行われている時です。また、換気に必要な送風量は概ね室内の容積の半分から2倍程度ですが、空調に必要な送風量はその10倍程度です。換気塗装熱に必要な風量には大きな差異が存在することにも留意すべきでしょう。
 
 

<写真> 床下集中換気システムを最小した現場例(設計・施工:武部建設)

 

また、大規模なビルで空調用途に消費されるエネルギーの4割程度は、空気を運ぶために使われる、いわゆる「搬送エネルギー」です。
 

汚染された空気と新鮮空気を、置き換えるという考え方。
 

住宅の床下空間を空調用途のチャンバーとして利用した空調システムが普及している北海道。その理由はどこにあるのでしょうか?
 
「混合換気」で居住域の汚染物質濃度を低減するためには、送風量を可能な限り多くすることが必要になります。また、汚染濃度も混合による希釈ができないと空間に汚染ムラができてしまいます。
 
 

<写真>壁に設置された、新鮮空気の取り入れ口(ここから外気が導入される)

 

これらの課題を解決しつつ快適性を確保するという観点から、積雪寒冷地である北海道では床下利用の「置換換気」システムが住宅の換気手法としても広く採用されるようになってきました。
 
居室に新鮮空気を直接屋外から取り込み、汚染した空気を電動ファンで屋外へと排出する方法を「第3種換気方式」といいます。比較的施工が容易なことから、住宅を中心に普及が進んでいます。
 
しかし、外気が居室へと直接取り込まれるので、そのままでは冬の寒さが室内へと侵入してしまうことを防ぐことができないのがこのシステムの欠点です。
 
 


<写真>掃き出し窓の近くに設置した、新鮮空気導入のスリット

 


<写真>床下に施行された給気予熱用のコンベクター

 

換気によって居室の温熱的快適性が低下するという欠点を解決するために考案されたのが、「床下集中換気システム」です。
 
居室に導入される新鮮空気の温度は外気温度に左右されますので、冬季間には氷点下20度にまで達する地域が北海道にはあります。低温空気を直接室内に導入すると、どんなに暖房していても足元が寒くなり不快に感じてしまいます。
 
この問題を解消するために、新鮮空気を一旦床下の空間に取り込み、温水暖房のラジエータなどで加温してから居室へと導入するシステムが「床下集中換気システム」です。
 
予熱された空気は室温よりも若干高くなりますので、電動のファンを使わなくてもスリットを経由して室内へと自然に新鮮空気を供給できます。
 
さらに、床下放熱器の放熱量を調整すれば、置換換気と同時に室内の暖房も可能になり一石二鳥です。
 
 


<写真> 床下給気を採用した、高性能住宅の例(設計・施工:北央建設)

 

大きな掃き出し窓がある居間ではガラスからのコールドドラフトが、不快さの原因となることもあります。掃き出し窓の下部にスリットを設けることで、コールドドラフトを防止することもでき、温熱環境として調和のとれた換気、暖房を創出できます。
 
「置換換気」では空調用の送風量と必要換気量に10〜20倍程度の大きな差異があることを指摘しましたが、「床下集中換気システム」では自然対流を利用した送風が可能になるため搬送動力が不要になります。つまり室内で風を感じることのない快適な暖房環境と、新鮮空気に満たされた居住域を生成することが可能になります。
 
ちりや埃など、室内で発生した汚れが床下に蓄積されるなどの懸念があるようですが、室内を日常程度に清掃するだけで床下も綺麗に保てることがわかってきました。今後の普及に注目の空調システムです。

 
 
 
 
室内気候研究所 主席研究員
工学博士 石戸谷 裕二
■公式 HP: http://iwall.jp
■ブログ:http://blog.iwall.jp
 

Lesson 49 新鮮な空気は、どこから供給されているのか?

空調用ダクトも、建築に溶け込みながら進化し続けています。
 
空港ターミナルや体育館、工場といった大空間では、空調機で温湿度や清浄度を調整した空気を効率よく分配して快適な室内環境を創生するために、複雑なダクト網が利用されてきました。
 
隠蔽されて見えないことも多いのですが、亜鉛メッキされたむき出しのダクトや、スリット状の吹き出し口を天井付近で見かけることがあるでしょう。
 


<写真>プラハ国際空港の、露出した空調用ダクト

 

レンゾ・ピアノとリチャード・ロジャースが共同設計したポンピドーセンターの「見えるダクト」はその好例でしょう。しかし、むき出しの空調ダクトは建築デザインとして、あまりにも武骨な印象を与えることもあります。
 

 


<写真>関西国際空港の「オープンエアダクト」と吹き出し口

 

関西国際空港のメインターミナル4階に設置されている「オープンエアダクト」は、ダクト工事の煩雑さや設備のデザイン的な課題を、工学的に見事に解決した一例だと言えます。
 
「オープンエアダクト」とは管状ではなく内部がむき出しの送風ダクトのことで、ここではテフロン製の白い帆布が19本も設置されています。吹き出し口から空間へと供給された空気は付着噴流となって帆に沿って流れ、フロア内のすみずみまで満遍なく行き渡るように工夫されているのです。
 


<写真>オープンエアダクトの下面に沿って、空調された空気が搬送される

 

このオープンエアダクトは、拡散光を隅々まで届ける光のダクトとしても利用されています。関西国際空港を設計したイタリアの建築家レンゾ・ピアノが起想した通り「障子のような影のできないソフトな照明」は、新鮮空気を送り届けるという役割と同時に見事に実現されているのです。
 


<写真>仙台国際空港の搭乗口ロビーにある空調吹き出し口

 

目立たぬところで、快適と健康を支えてくれる空調設備のデザイン。
 
日常生活を室内で過ごしている時、自分の呼吸している空気中には酸素が十分な含まれているのか?呼吸が困難になることはないのか?などと考える人はほとんどいないでしょう。
 
例えば飛行機のような密閉された空間ではどうでしょうか?生命維持に不可欠な酸素はどこからやってきてどのように消費され、代謝で生成した二酸化炭素はどこから排出されているのかと、ふと気になることがあります。
 
人間が快適で健康的な生活を送るためにはアレルギーの元凶ともなる花粉や粉塵などを除去し、清浄度を維持しながら適切な温湿度になるよう空気の質を維持しなくてはいけません。もちろん生命の維持に不可欠な酸素の供給も、空調設備の大切な役割の一つです。
 
 

<写真>調整された空気を供給してくれる、空調設備の吹き出し口

 
 

<写真>せんだいメディアテークの空調吹き出し口

 
 
 
命にかかわる重大事なのに、ほとんど顧みられることもな空調設備。現代だからこそ、無意識でいられることの幸福を享受できているのかもしれません。
 
大勢の人が行き交う空港ターミナルやホテルのロビーのような大空間では、必要な空気量を安定して供給するばかりなく、人間が利用する居住域を効率よく空調された空気で満たすことが必要になります。
 
同時に空調設備には建築のデザインに溶け込んで、できるだけさりげなく存在しながら、その機能を発揮することも求められます。
 
 

<写真>国立科学博物館の、巨大な空調用ダクト

 

私達を常に見守ってくれている生命維持装置が、建築空間のどこに隠れているのか?建築デザインを探索する時の楽しみが、また一つ増えそうです。

 
 
 
 
室内気候研究所 主席研究員
工学博士 石戸谷 裕二
■公式 HP: http://iwall.jp
■ブログ:http://blog.iwall.jp
 

Lesson 48 「空気質」が健康と、生産性向上の鍵を握る!

換気によって室内の二酸化炭素濃度や浮遊粉塵量を減少させると知的生産性が向上する、という欧州発の研究成果が注目を集めています。また睡眠時の空気質が健康リスクを増大させている、という医学関連の報告もあるようです。
 
今回は室内の「空気質」が健康リスクや知的生産性に及ぼす影響について考えてみることにしましょう。
 

 
睡眠時の空気環境が、健康リスクを高める可能性がある。
 
紫外線暴露や細菌感染などによって昼間に酷使された人間の免疫系修復には、良質な睡眠を欠かすことができません。就寝時の空気環境が睡眠の質に影響を与えると結果的に免疫力の低下を引き起こし、健康リスクを高めることになる懸念されているのです。
 
アレルギー性の疾患を抱える人が半数を占める、と言われている現代社会。
 
閉め切った寝室は、カビやダニ、寝具からのホコリなどが舞いやすく、二酸化炭素やVOCの濃度も高くなりがちです。
 
夜中から朝にかけての就寝時間帯には、鼻炎や喘息などのアレルギー症状が悪化する傾向があります。空気清浄機などを利用して室内の浮遊粉塵量を減少させることで良質な睡眠が得られ、結果として免疫機構の活性化が期待できるということです。
 
機械換気をしていても、就寝時には基準を上回る二酸化炭素濃度。
 

 
2003年7月の「改正建築基準法」の施行によって必要換気量が規定され、住居では換気回数 0.5 [回/h] 以上、その他の居室(学校や事務所建築を含む)では0.3 [回/h] 以上の機械換気が事実上義務づけられました。
 
しかし、建築基準法で定められた必要換気量と、二酸化炭素やホルムアルデヒドなど室内汚染物質の濃度に関する指針との関係は必ずしも明確であるとはいえませんし、ましてやこれが個別の室内空気質を保証するものでないことはいうまでもありません。
 
二酸化炭素の定量法を発見したPettenkofer(1818-1901)は、室内の二酸化炭素濃度が700〜1,000PPMになると居住者は不快を訴えはじめる、という学説を世界で初めて提示したことで知られています。この成果は日本の建築基準法をはじめとする多くの基準で引用され、二酸化炭素濃度は室内空気の汚染度の尺度の一つとして長く用いられています。
 
 

 
6畳間の寝室を閉め切った状態で建築基準法が規定する前述した量の換気を行なった場合、8時間後の二酸化炭素濃度は2,600ppmと環境基準を大きく超過します。また10畳間で二人が就寝した場合も、ほぼ同様の結果となるのです。
 
二酸化炭素濃度が基準を超過しただけで直ちに健康被害があるわけではありませんが、室内の空気質が低下していることを定量的に把握できます。
 
近隣の状況や気象条件に左右されるものの寝室は締め切りではなく、窓あるいは隣接する空間との扉を開け放って就寝したいものです。
 
空調設備のダクト内を、清潔に保つことは本当に可能なのか?
 
第1種熱交換換気システムなどで利用される、送風のためのダクトシステム。内部を温湿度や清浄度を調整した空気が運ばれ、所定の量だけ居室に分配、供給することで室内の空気環境を整えてくれる優れものです。
 

 
通常は床や天井など建築の躯体内部に隠蔽されているため、その内部を観察することはできないのですが、普及が進むにつれダクト内のホコリやカビなどを原因とする健康リスクが取りざたされるようになってきました。
 
年間を通して窓開け換気が可能な期間が短い北欧では、ダクトシステムを利用する場合の定期的な内部清掃を義務付けている国もあるほどです。
 
日本のように湿潤な気候区分にある地域では、内部に埃などの栄養分が一旦入り込むと常在菌やカビの発生原因ともなることから、メンテナンスは必要不可欠といってもいいでしょう。
 
近年ではダクトを使用しない換気システムも開発され、欧州では普及が進んできているようです。
 
空気環境を整えるための設備が健康リスクとならないよう、設備の選択時にはメンテナンスの容易さにも十分に配慮したいものです。
 
 
 

 

【Good Design Award 2018受賞】
 
室内気候研究所 主席研究員
工学博士 石戸谷 裕二
■公式 HP: http://iwall.jp
■ブログ:http://blog.iwall.jp
 

Lesson 47 消臭スプレーで、部屋の空気はキレイになるか?

2018年12月16日、札幌市豊平区で大規模なガス爆発事故が発生しました。奇跡的にも人命は失われずにすみましたが、建物の倒壊や火災など周辺地域にも甚大な被害をもたらす結果となりました。
 
原因は、可燃性の「消臭・除菌スプレー」を密閉された空間に大量に放散させたこと、だそうです。
 
消臭スプレーは「空気の質」を手軽に改善したいという欲求を叶えてくれる便利な手法です。しかし今回の事故は、身の回りにある生活用品もその使用方法を取り違えると大事故を引き起こしかねないことを改めて知らしめるとともに、一般的なユーザーは部屋の「空気の質」を改善したいという強い潜在的欲求を持っている、という現実を露呈する結果となりました。
 
でも可燃性ガスを含むVOCを噴射すると、空気質は向上するでしょうか?
 


 

今回からは数回に分けて「空気の質」を安全かつ確実に維持するための評価指標や、「空気の質」が健康に与えるインパクトについて、みなさんと考えてみることにしましょう。
 
人間は大量の空気を取り込みながら、生命を維持している。
 
人間は食料、水や空気などの必須物質を体内に取り込みながら、生命維持のために必要なエネルギーを常に生産しています。一般的な成人の1日あたり摂取量(重量換算)をまとめて以下に示してみました。図から空気の摂取量が圧倒的に多く、続いて水、食料の順になっていることが分かります。
 


 

人間の健康が、これらの摂取物質の質に左右される可能性があることは、専門的な知識を必要としない、人類共通の認識であろうかと思います。「健康」の名を冠した食品やサプリメント、保健的な機能を持つ水などが次々に発売され、高い評価を得ていることからも明らかでしょう。
 
また日本に居住している人は元より海外からの観光客の間でも、日本の食品や水の質、安全性の高さが注目されるようになってきています。
 
ところが摂取量が食料や水よりも多い空気、とりわけ室内の「空気の質」や安全性は、目に見えないという特性もあってか看過されがちなように思います。
 
健康を左右する「空気の質」を科学的に評価しましょう。
 
「シックハウス症候群」が取りざたされて以来、換気量に対する法的規制が強化されて「空気の質」に対する関心は高まってきたものの、アレルギー疾患や睡眠との因果関係など「空気の質」の重要性が解明されたとは言い難いというのが現状です。
 
「空気質」というと「建築内のガス成分濃度の高低の問題」と捉えられがちですが、その定義は時代とともに少しずつ変化してきました。人間の活動によって常に汚染され続ける室内の空気を、健康被害の生じないレベルに保つ方法を科学的、定量的に議論していく必要がありそうです。
 
室内の空気は、人間の活動によって常に汚染されている。
 
WHOは1939年から「住宅と健康の報告書」の中で室内空気汚染に関するガイドラインを示していますが、近年ではVOCなどの化学物質濃度に加えてPM2.5などの浮遊粉塵量、湿度とカビ、室内での燃焼による空気汚染などが指標として取り入れられるようになってきました。生活環境や住文化の変化に対応した改定であろうと考えられます。
 
健康保護の原則は基準で定義される暴露限界値を超えない状態に室内を維持することにありますが、最も確実で合理的な方法は「窓空け換気」に他なりません。しかし空気質の実態調査に伺うと窓を閉め切り、基準を大きく上回る二酸化炭素濃度の教室で一生懸命に勉強する小学生に出会い、いつも心苦しく思うのです。おそらく閉め切った教室の空気が、汚染されていることに気づいていないのでしょう。
 
外から帰ったら手洗い、ウガイ、そして窓空け換気の励行を!
 
生活環境の変化といえばそれまでなのかもしれませんが、窓を開放して換気を行う習慣が失われる二つれて、空気の質に無頓着な人が増え続けているような気がしてなりません。蒸し暑い電車の車内でも、窓を開けましょうと声がけをする機会もなくなりました。また窓を開放できない建築の増加が、これに拍車をかけているのかもしれません。
 


 

空気質の改善には、第一義的に汚染を感じ取る人間の感覚の鋭さが不可欠です。窓を開け放って新鮮な空気を吸った時の開放感や清涼感をいつも身近に感じることで、自然に空気質への感覚は研ぎ澄まされるのですから。
 
機械換気装置を運転すれば、全てが解決されるわけではない。
 
室内の温熱環境を快適に保ちつつ必要最小限度の換気を行うために、日本を含めたWHO加盟国は室内環境に基準値を定めています。ただし、換気量に関する基準値は、あくまでも最低限必要な換気量を定めたもに過ぎないということに留意すべきでしょう。
 
乳幼児や育ち盛りの子供やご長寿さんと同居されていたり、ペットと共棲する場合には、換気量を増やす必要があります。また就寝時のように密閉空間で移動を行えない場合には、空気質が著しく劣化する場合もありますので注意です。
換気経路を明確に意識しながら十分な換気を行うことも、大切な健康維持法の一つであることをいつも意識したいものです。
 
換気装置のフィルターが汚れていると、換気の意味がない。
 
2003年以降、新築住宅には機械的に換気を行う装置を設置する義務が課せられました。おそらくみなさんのお宅にもなんらかの機械換気装置が備えられていることでしょう。また概ね全ての換気装置には、粉塵の侵入を防止する目的でフィルターが装着されています。
 
新鮮だと考えられる空気はフィルターを経由して室内へと導入されるのですから、そのフィルターが汚れていたのでは換気の効率も低下してしまいます。
 
加湿機能のついて空気清浄機を使用している家庭も多いと思いますが、どちらの場合も共通で、最低でも月に二度程度フィルター清掃をすることで、機械によって空気が汚染されることを防止したいものです。
 


 
 

 

【Good Design Award 2018受賞】
 
室内気候研究所 主席研究員
工学博士 石戸谷 裕二
■公式 HP: http://iwall.jp
■ブログ:http://blog.iwall.jp
 

Lesson 46 天然素材の使用で、知的生産性は向上する!

今回は「睡眠の質」の向上や「知的生産性」の向上と密接な関係が指摘されるようになってきた『室内の空気質:Indoor Air Quality (IAQ)』について考えてみることにしましょう。
 

 
漆喰など「天然素材」の壁が、室内の空気質を劇的に改善する!
 
日本では、新築や改築を問わず住宅の壁仕上げの主流が「ビニールクロス」であることは、これまでにも何度か取り上げてきました。
 
ポリ塩化ビニールを主原料とする壁紙を一般的に「ビニールクロス」といいますが、プリントやエンボス加工などが容易にできるためデザインも豊富で、量産性にも優れています。また、施工費も比較的に安価であることが、建材としてこれほどまでに普及した最大の要因となっているようです。
 

(写真)エンボス加工と印刷技術で、本物の織布のようなデザインの塩ビシート。

 
原料のポリ塩化ビニールは、耐水性(水分を通さない性質)や電気絶縁性(電気を通さない性質)などに優れるという特長を持っているのですが、住環境の視点から見ると時としてこれらがデメリットとして働くこともあるのです。
 
空気が乾燥してくる冬場には絶縁性が高いビニールクロスには静電気がたまりやすく、衣服や寝具、カーペットなどから出た繊維のクズやダニの死骸、皮脂の汚れやフケなど、いわゆる埃が壁に付着しやすくなってしまいます。
 
ある程度まで大きく成長した埃は床に落下しますが、室内の空気流によって運搬されて空間全体に浮遊することになります。埃を集め、成長させて拡散させるメカニズムの一端を、「ビニールクロス」壁が担っているとも言えるのです。
また高い耐水性のため木などの天然素材に比べて水蒸気を吸収しにくく、室内の相対湿度を自然に調整する機能、いわゆる調湿性能は期待できません。
 
漆喰や無垢の木材などの天然素材は絶縁性が低いので、静電気が発生してもすぐに放電してしまいますから壁で埃が成長することも抑えられ、結果として空気質も改善されることになります。また、吸放湿性能に優れた天然素材は、一年を通して過度な乾燥や結露を防止する役割も果たしてくれます。

 


天然素材の壁が、知的生産性を向上させるという研究成果が公表される!

慶應義塾大学 理工学部の伊加賀俊治教授らの研究グループは「週刊文春:2018.10.18号」誌上で、内装仕上げ材料の種類が知的生産性の高さに及ぼす影響について、興味深い研究成果を公表しました。

 

研究グループは被験者である学生を3グループに分け、仕上げ材の異なる三つの部屋に3日間宿泊させて、自律神経の活動や睡眠時間、翌日の作業成績などについて比較を行いました。調査した壁仕上げ材は「ビニールクロス」、「木目調プリントのビニールクロス」、そして「天然素材」の三種類です。

 

 

(写真)天然素材に囲まれた寝室で知的生産性向上。(設計・施工:北洲ハウジング)
 

「翌日の単純・創造作業は『天然素材』の部屋に宿泊した学生が最も成績が良く」「偏差値でいうと”9くらいの差」が実験結果から確認できたというのです。『天然素材』の部屋で睡眠するだけで、翌日の知的生産性が大幅に向上するという、新たな知見の水平線を切り開いたことに敬意を表したいと思います。

 

今後、室内の壁仕上げ材料の選択と室内空気質、そして自律神経の状況や睡眠時間、さらには知的生産性などとの因果関係が、さらに科学的に解明されていくことを期待したいものです。

 

(写真)天然素材「エコナウォール 」が知的生産性向上に貢献します。
 

 
 

【Good Design Award 2018受賞】
 
室内気候研究所 主席研究員
工学博士 石戸谷 裕二
■公式 HP: http://iwall.jp
■ブログ:http://blog.iwall.jp
 

Lesson 45 ZEHを流行で終わらせないためには、何が必要か?

日本政府は、2014年4月に閣議決定された「エネルギー基本計画」に沿って「2020年までに標準的な注文戸建新築住宅の過半数でZEHの実現を目指す」ことを政策目標としています。
 

 
ZEH(Net Zero Energy House)とは、「外皮の断熱性能を大幅に向上させるとともに、高効率な省エネルギー設備と太陽光発電などの創エネルギーシステムを導入することで、室内環境の質を維持・向上させつつ、年間の一次エネルギー消費量の収支がゼロとすることを目指した住宅」の総称です。
 
高断熱住宅の普及に加えて、地球温暖化対策やエネルギー安全保障の観点からも、その推進が期待されているZEH。今回は、ZEHの現場でどのような問題が取りざたされているのか、考えてみることにしましょう。
 
高性能な住宅建設の好循環を生む「ZEH」。普及のためのハードルは?
 
「健康・快適」や「資源・エネルギー」など、住宅のウエルネス向上に貢献すると期待されるZEH。いい事尽くめで、すぐにでも普及しそうなZEHですが、その普及にはかなり高いハードルがあるようです。
 
住宅をZEH化するためにはまず断熱性能を強化するとともに、高性能な空調や給湯設備を備え、さらに太陽光発電システムなどを導入をする必要がありますから、新築住宅でも数百万円単位のイニシャルコストが必要になります。また、光熱費の削減で初期費用を回収するには長期間を要します。
 
この経済的なハードルを解決する目的で、政府は「ネット・ゼロ・エネルギー・ハウス支援事業」による補助金制度を設け、太陽光発電システムに付帯させる蓄電池の設置費用を含た初期工事費用の全体に対して一定額の補助金を支給しています。
 
さらに余剰電力の固定価格買取制度の利用など、ZEHを建てようとする建築主には手厚い経済的な助成制度が準備されています。財政難が叫ばれている日本政府ですが、財政的な補助によって経済的なハードルを取り除くことができれば、ZEHは日本全国に普及するのでしょうか? また、この政策に持続可能性はあるのでしょうか?
 


(写真)首里城の開放的な伝統的な和室空間

 
ZEHのために狭小化された開口部は、日本の住文化を守れるか?
 
ZEHの建設では一次エネルギー消費量を削減するために、外皮性能の大幅な高性能化が義務化されています。もちろん断熱性能の向上のためには費用がかかりますので、これを圧縮する目的で相対的に断熱性能が脆弱な「窓」の面積を小さくした住宅がどんどん増えていると言うのです。
 
もともと軸組工法の特徴を生かして開放的な「間戸」を設け、自然の変化を身近に感じながら生活を営んできた日本人の持つ住文化が、ZEH普及のために毀損されようとしている、とも言えるかもしれません。
 
先進的な住宅技術であるZEHを一過性のものに終わらせることなく日本の住宅に根付かせるためには、伝統的な住文化にこの技術をなじませていく努力が不可欠であると考えられます。
 



(写真)ハイデルベルク城(中世の組積造建築)の小さな窓

 

建築は「フィルター」と「シェルター」の異なる機能で構成される。
 
以前にも述べたように「まど」は外界と室内環境をつなぐ情報の「フィルター」の役割を担っています。「まど」は生活に必要な外界の情報を、必要なぶんだけ透過する事で、室内に良質な刺激を与えてくれるのです。
 
壁や床、屋根などの建築躯体が外界の変化を遮断して、居住者に安心感を提供する「シェルター」の役割を担っているのとは好対照です。
 

 
室内に自然な光や風などの変化を取り込み、時間の流れや外界の変化を知らせてくれるのは「まど」の大切な機能の一つです。また、視線や眺望を得ることで自然や周囲環境と「ツナガル」ことができるのも「まど」のおかげでしょう。
発電所の管制室や地下鉄の運転席など「シェルター」の中での生活を想像してみてください。建築学的には窓のない室内空間を「無窓空間」と言いますが、完全に自然と隔絶された環境の中で終日働いてくれる皆さんのご苦労には、頭が下がる思いがします。
 
革新的な「窓システム」の研究開発が、産学連携で実施されている。
 
少子高齢化やテレワークの普及による働き方の多様化といった社会的な背景を受けて、健康・快適で知的生産性の高い「ウエルネス空間」づくりに資する革新的な窓システムの開発を目的とした研究が、北海道職業能力開発大学校の三浦研究室で実施されています。
 
窓の性能には貫流する熱量を抑制する断熱性能の他に、日射熱取得率や可視光透過率などを最適化することが求められます。特に寒冷地におけるパッシブ住宅の普及では高い断熱性と日射取得率を同時に有する高性能ガラスの開発が喫緊の課題となっており、ガラスの開発も急速な進歩を遂げています。
 


(写真)ガラスの性能評価試験の様子(北海道職能大)

 
同時に日射熱取得や連続する居間空間の環境改善のために付設される「グリーンハウス」などのガラス被覆付設空間では、日射による夏場の過昇温が課題であることが指摘されています。これらの空間では維持管理の問題から、カーテンやブラインドなどの調光システムが使用できないことも予見されます。
北海道職能大では、高性能ガラスと調光性能を有したフィルムを組み合わせて設置することで、眺望や日射受熱量を任意かつアクティブにコントロールできる窓システムを開発することを目指した研究が行われています。
 


(写真)電圧をかけることで透過性が変化する調光フィルムの例

 
眺望をアクティブにコントロールして、「ツナガル」家づくりを。
 
ZEHの普及に伴って、減り続けてている開口部の面積。
 
そして、外界の刺激を取り入れながら、精神的な活動を豊かにしていきたいという住要求の高まり。
 
伝統的な住文化を未来へと継承してくれる革新的な窓システム開発が、これら問題に解決を与えてくれる日も近いのかもしれません。
 


(写真)開放感に溢れたテラスを囲み、互いに「ツナガル」空間構成(SUDOホーム)

 



(写真)スマート調光ガラス「HALIO」(AGC Studio)

 



(写真)液晶フィルムを利用した遮熱・調光システム(北海道職能大)

 
 

【Good Design Award 2018受賞】
 
室内気候研究所 主席研究員
工学博士 石戸谷 裕二
■公式 HP: http://iwall.jp
■ブログ:http://blog.iwall.jp
 

Lesson 44 住宅内の健康リスクには、地域間格差が存在?

前回は広域停電などの重大災害が発生した時に、住宅の断熱性能が生存リスクに対してどれほどの影響を与えるのか、という問題について考えてみました。今回は冬季の4大疾病による死亡率の地域間格差に関する研究成果をもとに、温熱環境と健康リスクとの関係について再考してみたいと思います。
 
室温が16℃以下で、呼吸器疾患のリスクが高い地域は西日本に多い。
 
冬季に死亡率が上昇する心疾患、脳血管疾患、呼吸器疾患は冬の三大疾患としてよく知られています。これらに加えて急激な血圧変動に起因すると考えられる二次的な死亡原因として、溺死・溺水が挙げられます。
 


 

 
これら4大疾患による冬季死亡率の地域間格差を、既往の研究成果をもとにグラフ化して示してみました。寒冷地である北海道の厳寒期死亡率を基準にすると、比較的温暖と言われる地域の死亡率が非常に高いことがわかります。
 
特に呼吸器疾患による死亡率は地域格差が大きく、近畿、北陸及び四国の死亡率は北海道の5倍を超過しています。英国保健省の環境基準では「呼吸器疾患に影響の出る室温」を16℃と規定していますので、これらに地域では冬季間の室温が16℃以上に維持できていない可能性がありそうです。
 
また、心疾患に比べて呼吸器疾患の地域間格差が拡大してしまうのは、心疾患への影響が出始める室温(12℃)よりも呼吸器疾患への影響温度が高く、結果として死亡率の室温依存性が高まるため、と考えることができます。
 
これらの原因として温暖地域の断熱性能の低さが指摘されています。住戸あたりのエネルギー消費量における地域間格差をなくす、という意味では断熱性能の地域基準は一定の合理性を持っています。
 
一方で温暖地域に見られる「冬の寒さは耐えるもの」という生活習慣とも相まって、暖房使用を我慢して避けようとする文化も見られることから、格差解消には「無暖房時の室温維持に必要な断熱性能」という指標が必要になりそうです。

温度・湿度・空気清浄度の維持で、呼吸器疾患リスクを減らそう。
 
呼吸器疾患への対策は室温の維持に加えて、相対湿度の調節、空気清浄度の維持も大切な要素になります。健康リスク低減のため、風邪を引きにくい環境を創ることを、住宅設計の計画段階から心がけましょう。
 
ここでも健康被害に会いやすいのは、体力や免疫力の弱いご長寿さんと乳幼児です。風邪は万病のもと、と古説にも言い伝えられています。重篤な肺炎も、元を正せば断熱不足で室温が低かっただけなのかもしれないのですから。
 
さらに、住宅で心肺停止状態となり緊急搬送される「CPAリスク」の原因と、その予防策について考えてみることにしましょう。

CPA発症リスクを放置して、住宅の「安全性確保」はできるか?
 
下に住宅のウエルネスの構造を再掲してみました。これまで災害の発生時でも人命を守るために最低限必要な性能を「安全性の確保」と定義して議論を進めてきましたが、重大な健康被害のリスクを低減するための環境保持は「健康・快適」の創出と同次元で議論しても良いのでしょうか?
 
住宅で暮らしているだけで健康リスクが高まり、心肺停止を引き起こす可能性のある室内環境。これを放置していては、住宅に求められる安全性が十分に確保されているとは言えません。健康リスクの排除は「住宅の安全性」に関わる重要な要素ですから、耐震性能と同等のレベルで対策が講じられるべきです。
 


 

一方、「健康・快適」の領域で議論すべき論点は、人生100年時代を幸福に生き抜くために必要な健康増進に資する室内環境の質であって、例えば運動や睡眠が十分に取れる環境をいかに創出するか、といった方法論なのです。
疾病による健康リスクが高い居住環境を放置したままで健康増進を議論することは、根本的な矛盾があると考えられます。
 
冬型の心肺停止事故が、北海道よりも温暖地で多発する理由は?
 
以下に心肺停止状態で緊急搬送された高齢者数の、単位人口当たりの比率に関する研究成果を都道府県ごとに示して比較しました。
 


 

前述のように心疾患、脳血管疾患の発症は冬季間に発症リスクが高まることがよく知られています。季節病とも考えられるこれらの疾患による緊急搬送率は、積雪寒冷地と言われる北海道や北東北よりも、温暖地である近畿以西の西日本地域で圧倒的に高いことがわかります。
 
室温が12℃を下回ると心疾患リスクは高まることを合わせて考えれば、CPA発生件数が高い地域では室温が12℃よりも低下する時間帯があるか、寒い場所が住宅内に存在していることに起因していること容易に予見されるのです。
 
断熱性能を十分に高め、全館で24時間連続暖房が経済的にできる住宅の普及を進めてきた北海道や北東北地域ではCPA発症リスクが低いことからも、住宅の断熱性能強化が安全性確保にとって最も重要であることがわかります。
 
健康リスクの排除は、幸福な人生にとって不可欠な条件ではないのか?
 
健康寿命を延ばすために適度な運動を励行し、摂取する食物を吟味して選択している人は少なくありません。しかし、室内環境が原因となる健康リスクの高い住宅に暮らす限り、いつ重大疾病を発症してもおかしくはないのです。
 

 

 
断熱性能は「省エネ基準」から「健康基準」へと、評価指針を転換しなくてはいけません。
 
断熱性能を蔑ろにしながら、華美な内装や高性能設備に費用を配分している住宅はないでしょうか? また、断熱性能が低く健康を脅かす可能性のある住宅に対する国の施策は十分でしょうか?
 
住宅のウエルネス向上は、社会保障費を不必要に増大させてしまう可能性もある「冬型の健康リスクを住宅から排除する」ことから始めたいものです。
 
 
 

 
室内気候研究所 主席研究員
工学博士 石戸谷 裕二
■公式 HP: http://iwall.jp
■ブログ:http://blog.iwall.jp
 
 

Lesson 43 災害時でも、人命を守れる住宅に必要なものは?

台風や集中豪雨による大規模な災害が頻発した、2018年の日本列島。
 
北海道では観測史上最大となる大地震で土砂災害や地盤の液状化が起き、尊い人命や貴重な財産が失われました。さらに、ブラックアウトによる広域停電が発生して被害は拡大し、基幹産業を含む生活全般に深い傷跡を残しました。
 
住宅建築は風雨や寒冷・暑熱から人を守り、地震や台風の被害を可能な限り極少化するという根元的な役割を担っています。また、持続可能な社会を維持しつつ、居住者の幸福を最大化するために必要な住性能も多岐に亘ります。
 
今回は住宅建築に要求される性能を分析的に考察すると同時に、相互の関連性や最適化の手法についても議論してみたいと思います。
 
 

 
 

全ての人が幸福を追求できる住宅を、どう「ツクル」か?
 
日本政府は、高齢者、障害者、子育て世帯等の多様な世代が交流し、安心して健康に暮らすことができる「スマート・ウェルネス住宅」の普及を平成26年度から政策的に推進しています。
 
ウェルネス(wellness)には種々の定義があるようですが、概ね「健康であることを基盤とした、人生の幸福最大化に関わる希求」という解釈がもっぱらかと思います。病気(illness)ではない状況としての健康(health)とは一線を画す概念で、住宅建築に対して新しい道標を指し示すものと言えるでしょう。
 
IBECが提唱しているスマート・ウェルネス・オフィスの定義を参考にしながら、その構造を図解してみました。前述したようにウェルネスを下支えしている機能が「安全性の確保(Resilience)」であるとすると「建築が原因の病気や怪我を防ぐ」という全ての機能は、ここに包含されるべきだと考えられます。
 
つまり風雨や寒冷から身を遠ざけ、地震や台風から命を守る全ての基本的性能はここに集約される、という考え方です。風雪荷重への耐力や耐震性能はもとより、空調の途絶時でも人命を守ることを目的とした断熱・気密性能の強化、食料や飲料水の備蓄方法の提示、停電などでエネルギーが途絶した時の対処についても「安全性の確保」の観点から入念に計画されるべきでしょう。
 
また、中・長期的な展望と経済的なバランスを勘案しながら社会全体の共有資産として構築されるべき「エネルギー・資源」分野のインフラに関する議論は、災害時における緊急避難的なエネルギー源としての乾電池やカセットボンベなど、いわゆる防災グッズ的な手段とは切り離して議論されるべきでしょう。
 
さらに上位概念である「健康で快適」な環境の創出は、「健康長寿社会の実現」や「全人類の幸福の希求」および「社会保障費の抑制」を目的としており、「暑さ・寒さ」による生命に関わる危険の排除、あるいは安全性の確保という概念とは次元の異なる概念であることに留意すべきです。
 
 
もしも厳冬期にブラックアウトが起きて、暖房が使えななくなったら!
 
災害大国日本では、地震による二次的な被害を可能な限り抑制するためにも、深刻な事態を想定した備えが常に必要になります。ここでは、住宅の安全性を担保してくれる「断熱」の役割を、簡単な計算を使って考えてみましょう。
 
 

  
 

危機的な状況を緩和するために必要な、住宅の断熱性能とは?
 
2018年9月の北海道大地震では広域停電の解消までに3日を要しましたが、厳冬期にブラックアウトが起きて暖房できなかったとしたら、住宅の室温はどのくらいまで低下してしまうのでしょうか? そして、寒冷環境が被災者の健康に及ぼす影響と、その程度は?
 
想定される最悪の状況を仮定しながら、「断熱性能」と「室温」そして「健康」との関係を予測してみましょう。
停電が発生したのは厳冬期の深夜。停電直後に2人で自宅の6畳間へと避難しましたが、人間からの発熱以外に暖をとる方法はありませんでした。あいにくこの期間は曇天日が続き、日中の日射による熱取得も期待できません。
 
 

 
 
無断熱住宅では、暖房しないと呼吸器疾患のリスクが高まる。
 
英国保健省の指針によれば、室温が16℃を下回ると呼吸器疾患に影響が出始めるとされています。無断熱の住宅で室温が16℃まで冷え込むのは、平均外気温13℃の日に相当します。日較差が10℃だとすると最低気温が8℃、最高気温が18℃の日です。驚くべきことに無断熱住宅ではまだ初秋の外気温でも、暖房をしなければ呼吸器疾患に影響を与える可能性があるということです。
 
一方、断熱性能が比較的高い北海道など寒冷地の住宅では、災害時に無暖房の状態になっても室温が16℃を下回るのは平均外気温度が4℃の日ですから、最低気温が氷点下になる日でも最低限の健康環境が維持できるということです。
 
 
暖房停止時にも、低体温症リスクを回避できる断熱性能が不可欠!
 
災害時に暖房が停止して低体温症による死亡リスクが高まる時の条件を、断熱性能と外気温度に着目して評価してみましょう。
 
北海道の現行断熱基準をクリアしている住宅では、低体温リスクが生じる時の平均外気温度は−7℃になります。暖房が停止して最低気温が−12℃の日でも、住宅内では、かろうじて命を繋ぐことができる可能性があるということです。
 
しかし、北海道ではさらに過酷な厳寒の状況も予測されます。人命を守るための断熱性能設計は、まず危機回避のための室温を設定することから始めましょう。無暖房でも命をつなぐことができる室温をツクルことも断熱の役割です。
 
一方、無断熱住宅では外気温度が氷点下になる日には、生命が維持できないほどまで健康リスクが増大します。心疾患や脳血管疾患の危険性まで合わせると、災害時にはとても過酷な状況が生起することが容易に想像できます。
 
 

 
 
断熱改修を急いで、環境弱者を死亡リスクから救い出そう!
 
災害時に過酷環境が生じた場合、一番初めに健康被害が及ぶのは、ご長寿さんや乳幼児など、いわゆる「環境弱者」です。
 
全国には2,500万戸にも及ぶ無断熱住宅が存在し、そこでは日々の生活が営まれています。建築の専門家は寒冷による健康リスクに対応するためにも、住宅や避難場所の断熱改修の普及に早急に取り組まなくてはいけないのです。
 
 
 

 
室内気候研究所 主席研究員
工学博士 石戸谷 裕二
■公式 HP: http://iwall.jp
■ブログ:http://blog.iwall.jp
 
 

Lesson 42 屋根の断熱不足が「睡眠の質」を低下させる。

2階にある寝室や子供部屋が深夜になっても暑くて、ぐっすり眠れない。翌朝もスッキリ起きられない。
 
夏型の睡眠不足に悩む方は意外に多いようです。今回は住宅の2階がとりわけ暑くなる原因と、その対処方法について考えてみることにしましょう。
 
日射を受けた屋根から侵入した熱が「睡眠時熱中症」の原因になる。

 
木造住宅の最上階の天井(多くは2階ですが)と屋根の間の空間を小屋裏空間といいます。屋根の断熱が不十分な住宅では、日中の日射熱で小屋裏空間の温度が 60~70℃ にも達することも珍しくありません。
 

  

小屋裏空間にたっぷりと蓄えられた熱は夜になっても2階の天井を温め続け、徐々に室内へと流れ込んできます。冷房の冷たい風と天井からの照り返しが同時に存在するという非常に不快な環境が夜通し続くと、寝苦しくて「睡眠の質」はますます低下してしまいます。
 
また寝室の室温が28℃以上になると発汗によって無意識のうちに自律神経は亢進しますから、就寝中も体にはストレスが蓄積されることになります。
 
さらに就寝中にしか分泌されない成長ホルモンが抑制されて子供の成長を妨げるばかりでなく、免疫能力は徐々に弱まり、新陳代謝は停滞して夏風邪を引きやすくなるなど、睡眠の質の低下が罹病の原因にさえなってしまうと言われています。
 
断熱性能の低さが健康を阻害し、空調エネルギーを増大させる。
 
木造住宅に比べると熱容量が大きいマンションなどの最上階では蓄積される熱量も多いので、夜の室温が高く推移しがちですからこの問題は特に厄介です。
 

 
ここで住宅の断熱性能と体感温度との関係について考えてみましょう。
 
上の図は気候区分ごとに定められている断熱性能の指標、UA値の基準と体感温度の関係を示しています。横軸は外気温度で、体感温度は日射によって温められた建築躯体の影響も加味して計算してあります。
 
夏季の快適範囲を参考にして、エアコンを25℃に設定したとしましょう。また、知的生産性が低下し始める室温は、多くの人がやや暑いと感じる始める室温とほぼ同じで、どちらも26℃です。
 
本州の東京以西の地域が属する5〜7地域の断熱基準はUA=0.87 [W/m2/K]です。図から、外気温が25℃の夏日に冷房をしたとしても、晴れていれば日射の影響で体感温度が26℃を上回り、不快に感じる始めることがわかります。
 
断熱性能を上げて東北南部などの4地域の基準、UA=0.75 [W/m2/K]にしても外気温の上限は27℃で、真夏日になると暑さのために作業効率が低下してしまうのです。
 
さらに、北海道レベルの断熱基準 UA=0.46 [W/m2/K]まで断熱を強化すると、猛暑日でも体感温度は26℃以下に保つことができますので「夏の暑さ対策」にも「住宅の断熱強化」が有効であることがわかります。
 
エアコンの使用だけでは、防ぎきれない体感温度の上昇。
 
日射が窓を通して室内へと自由に侵入すると、床や家具にも大量の日射熱が蓄えられることになりますから、健康室温の維持はさらに難しくなります。エアコンを利用する場合でも遮熱効果の高い日よけの利用は必須と言えるでしょう
 
環境弱者を住宅内での熱中症から守るためには、以下の4項目が必須です。
 
  1 エアコンの適切な配置と利用
  2 屋根や外壁の断熱強化
  3 外付けブラインドなどの日射遮蔽装置の利用
  4 温湿度計などによる室内環境の可視化
 
年々増える続ける「住宅内熱中症」とりわけ「就寝時熱中症」の患者数。
住宅の睡眠環境の改善は、まだまだ不十分なようです。
 
 
 

 
室内気候研究所 主席研究員
工学博士 石戸谷 裕二
■公式 HP: http://iwall.jp
■ブログ:http://blog.iwall.jp
 
 

Lesson 41 夏季の室内は、25〜27℃ (50rh%)に維持しよう。

少子高齢化や環境負荷低減への対応策として、情報通信技術を活用した「テレワーク」の普及を目指す動きがあります。住宅が担ってきた「休息と安らぎの場」という原初的な住要求に加えて、「緊張した知的生産の場」との共存を同一住居内で可能とする環境設計手法の構築が必要になってきたと言えます。
 
一方で、新生児や乳幼児、ご長寿さんなどの環境弱者や、障がいのある方々も含め、全ての人が健康で充実した人生を営むことができる環境創生を目指すために「スマート・ウエルネス」という概念が住宅にも導入され、省エネルギー一辺倒だった住環境の評価指標が大きく見直されようとしています。
 
今回は酷暑の続く日本の夏をテーマに、休息・健康の維持と知的生産性の向上という異なる視点から「夏のかしこいクラシ」について考察してみます。
 
寝室は28℃ (50rh%)、執務室は26℃ (50rh%)以下に維持する!
 
室内における快適性の維持を目的とした温熱環境指標に関する研究は、1923年に発表されたF. C. HoughtenとC. P. Yagloglouの論文に端を発しますが、快適性を定量的に予測するための手法は1967年に発表されたP. O. Fangerの研究で一応の結論を得ることになります。
 
下の図はP. O. Fangerの ” Thermal Comfort” を参考にしながら、環境温度の至適快適性の範囲を示しています。着目する人間側の要素は活動量と着衣量ですが、冬の室内着程度の着衣量(1 clo)で、椅子に座って安静にしている状態(1 met)であれば、室温22℃が多くの人にとって不快を感じない至適快適性の目標値となることがわかります。
 
それでは夏の快適環境について考えてみましょう。下着程度のごく軽度の着衣(0.4clo)で横臥している時でも室温28℃、相対湿度50%以上になると暑く、発汗による体温調節が始まりますから、就寝時の寝室の室温は28℃が上限と考えられます。また、テレワークなどで自宅就労をされる場合や、子供の学習環境では活動量がもう少し上がりますから(1.0〜1.2 met)室温はさらに低く調整する必要があります。室温26℃程度、相対湿度50%が上限となるでしょう。
 

  

さらに室温が28℃以上になり発汗が連続して起こるような状況は、無意識のうちに自律神経が亢進してしまいますから、人体には大変なストレスがかかることになります。このような環境下で就寝しても「睡眠の質」の低下は避けることがでませんし、睡眠時にのみ活性化する免疫系の修復・再生や成長ホルモンの分泌にも大きな影響を与えることになります。
 
最近では「省エネのため設定室温を28℃にしましょう」といったスローガンを環境省も広告しなくなりました。知的生産性の維持、向上を目指すならクールビズ・スタイル程度の着衣量でも室温の上限は26℃ (50rh%)であり、これ以上の室温では作業能率、延いてはGDPが低下するからです。
 
冷房が苦手で就寝中には冷風に当たりたくないと考えている人は、廊下などの寝室に隣接する空間を十分に冷やして、冷房なしでも寝室の温度が28℃以下になるようにすることです。冷房設備の配置や使い方を工夫することも「睡眠の質」を向上させるためには大変有効な手段です。
 
また「熱中症の危険性が高いので、こまめに水分と塩分を補給をしてください」という「誤報道」にも気をつけたいものです。水分補給は熱中症を発症した時の対処的手法としては有効ですが、そもそも発汗を伴わない環境下で過ごし体内の水分量を低下させないこと以外に「熱中症」に有効な防止策はないのですから。高温が予測される炎天下での活動は控え、涼しい室内で暑さをやり過ごすことです。
 

 
同時にエアコンの設定温度を28℃に設定していたとしても、住宅の断熱、遮熱性能やエアコンの冷房能力の影響を受けて、実際の室温が設定温度になっていない住宅が多いようです。温湿度計は常に身の回りに置いておき、周囲環境を量として把握することを心がけましょう。
 
 
 

 
室内気候研究所 主席研究員
工学博士 石戸谷 裕二
■公式 HP: http://iwall.jp
■ブログ:http://blog.iwall.jp
 
 

Lesson 40 「住宅内熱中症は」、水分補給では予防できない!

関東・甲信地方では6月中に梅雨明けが宣言され、つづく7月の西日本豪雨の被災地でも連日の猛暑が続いています。3連休の最終日になった7月16日には全国186地点で最高気温が35℃以上になる猛暑日を観測し、連休中に熱中症で緊急搬送された方は実に2,020人。そのうち14人が尊い命を落とされました。
 
秋には豊穣の実りをもたらしてくれる夏の日差しや暑さも、対応の仕方を一つ間違えれば命取りにもなりかねません。特に温冷感覚が鈍ってきたご長寿さんや、暑熱からの回避行動を自ら取ることが難しい乳幼児など、環境弱者の被害が後を断ちません。今回は熱中症と室内環境との関係を正しく理解して適切な対応ができるよう、夏の暑さ対策についてもう一度考えてみることにします。
 
年々増え続ける、「住宅内熱中症」の発症数。
 
「熱中症」とは人体が高温の環境にさらされることで発汗が連続的におき、体内の水分量が減少することで熱失神や熱痙攣のなどが症状化する健康障害を指します。重症化すれば致死リスクを伴う恐ろしい症状です。
 

  

上の図は熱中症死の分析結果ですが、死者の総数1,100人に対し65歳以上のご長寿さんの割合は約40%と高く、しかも住宅内で「熱中症」を発症して亡くなるご長寿さんの割合は80%にも達しています。「住宅内での熱中症(住宅内熱中症)」は増加傾向にあり、住宅の熱環境調整は喫緊の課題と言えるでしょう。
屋外での作業や外出中の炎天下環境ばかりが注目され「住宅内熱中症」は死角になりがちですが、実際には室内の蒸暑環境が死亡リスクの要因となっていることを十分に知っておくことが大切です。
 
室内の温湿度管理が、死亡リスクを低減させる唯一の方法。
 
住宅内で熱中症が疑われる状態になり緊急搬送された人のうち「冷房が停止中であるか冷房が設置されていない室内にいた」割合が90%にものぼる、という驚くべき報告があります。エアコンからの風が直接、しかも恒常的に体に当たるのは不快なものですが、冷房の停止と死亡リスクの相関関係を考慮すれば冷房の適切な使用が命を守る近道であることは明らかで、蒸し暑い日には冷房の利用を躊躇してはいけません。
 
室内にいても適切な温湿度管理がされていなければ、熱中症を防ぐことはできないのですから。
 
蒸し暑い寝室の環境が「就寝時熱中症」のリスクを高める。
 
近年、寝室における「睡眠時熱中症」のリクスが取りざたされるようになってきました。住宅における熱中症の全死亡者に占める「就寝時熱中症」の死亡割合が40%程度にまで高まってきた、と言われています。
 
「就寝時熱中症」の発症メカニズムは比較的容易に理解することができます。蒸し暑い寝室で就寝すると体温の上昇を抑制するために自律的に発汗が助長され、体内水分量が徐々に低下します。そのままの環境で就寝し続ければ水分量はさらに低下し、やがて熱中症の症状が生じるのです。就寝時熱中症の発症時間帯が明け方に多いのもこのためです。また夜間の頻尿に悩むご長寿さんの中には就寝前の水分補給をためらう人も多く、気づかぬうちに熱中症が重症化してしまう例も見られるようです。
 
人体は適切な体温を維持するために、体内深部からは外部環境に向かって常に熱が放散されています。下の図は熱放散の割合と室温との関係を、放熱経路ごとに整理して示しています。室温が20℃の時、体表面から外部環境への熱放散量は対流、放射そして湿性放熱(拡散(不感蒸泄)や呼吸などで生じる潜熱放散)の割合は、ほぼ等しくなることがわかります。
 
しかし室温の上昇とともに湿性放熱の割合は相対的に増大していき、室温が28℃になると多くの人は発汗し始めます。汗は血液成分から生成されますので、発汗の進行とともに体内の水分量は減少していくことになるのです。
 

 
一般的に就寝中には水分を経口補給することができませんから、知らず知らずのうちに血液中の水分量は低下して、極端な場合には「就寝時熱中症」を発症することになるのです。熱中症対策の要諦は「水分・塩分の補給」ではなく、適切な「室内の温・湿度の管理」に尽きるのです。
 
就寝時の発汗は「睡眠の質」を低下させる。
 
就寝時に発汗が続くと「就寝時熱中症」のリスクが高まるだけでなく、いわゆる「睡眠の質」が低下する原因にもなります。「ぐっすりと寝て、スッキリと起きる」ことで新陳代謝は促進し、昼間に酷使した免疫システムが修復されて病気にかかりにくいカラダが再生されるのです。
 
蒸し暑さで就寝中に発汗が継続すると自律神経系が酷使されることでストレスが蓄積され、結果として「深い眠り」いわゆる「ノンレム睡眠」の生起を阻害してしまうことになります。長時間寝ても体がだるい、疲れが取れないなどの自覚症状は「質の高い睡眠」が取れていない証拠なのです。
 
「睡眠の質」の低下は、翌日の知的生産性の低下、食欲の減退、免疫力の低下、うつ病の発症などの原因ともなりかねませんので、その意味でも寝室の環境調整は欠かすことができないのです。エネルギー使用による費用の増加は、疾病による保健・医療費の増大、さらには知的生産性低下に起因した生産コストの増大に比較すれば、微々たるものであることは明白です。
 
「寝る子は育つ」「ぐっすり寝ると風邪が治る」などの格言は迷信ではなく、しっかりとした科学的根拠に基づいて説明できます。
 
発汗の生起条件が室温28℃、相対湿度50%の環境であることを考慮すれば、寝室の環境調整の上限値として参考にするのは有益でしょう。
 
 

 
室内気候研究所 主席研究員
工学博士 石戸谷 裕二
■公式 HP: http://iwall.jp
■ブログ:http://blog.iwall.jp
 
 

Lesson 39 「調湿建材」を科学してみよう。

夏のジメジメや、冬のカラカラをコントロールして、部屋を快適にしてくれる「調湿建材」。壁面の結露を防止したり、低減してくれる効果もあります。
 
空気と健康との関わりについてはこれまでにも何度か取り上げてきました。
ここでは、室内の過度な湿度変動を緩和して快適で健康的な環境を創り出すことのできる調湿建材の性能を、もう少し科学的に考えてみることにしましょう。
 
どうして「調湿建材」の性能を評価する必要があるのでしょうか?
 
珪藻土や竹炭のような多孔質材料は空気中の水蒸気を細孔に取り込んで吸着したり、部屋が乾燥すると再び部屋へと放散する能力があります。これを物理吸着と呼んでいます。また紙おむつの材料として使われている高分子ポリマーは、化学吸着によって自重よりも多くの水分を保持する性質を持っています。
 
これらの無機物や有機物を利用して、室内の水蒸気を自然に吸着・放散しながら相対湿度を調整する機能を持たせた建材が調湿建材です。でも吸着できる水分量は使用する材料の種類や量によって異なりますので、その性能を比較したり設計に取り入れるためには調湿性能の定量的な評価が不可欠になります。
 

 

平衡含水率と、吸放湿率をどちらも調べる理由は?
 
室内の水蒸気量は季節や生活行動によって常に変化しています。調湿建材も無限に水分を吸着できるわけではありませんから、平衡状態になった時の水分量を測定して調湿能力の最大値を把握しておく必要があります。
 
最大吸放湿能力を評価するための方法が「平衡含水率測定方法 JIS A 1475」で、試料と飽和水溶液をデシケータの中に静置して試料の重量変化から飽和状態における吸放湿量を測定します。JISでは28種類の飽和水溶液の相対湿度が温度ごとに示されていて、試験者が任意に選択して実験することができます。
 
平衡含水率は週数間から数カ月にわたる比較的中長期の調湿性能を評価するために用いられますが、調湿材によっては吸湿過程と放湿過程の間に差異が生じることがありますので測定値の取り扱いには注意が必要です。
 

 
一方、1日の吸放湿サイクル変化を人工的に試料に与え、比較的短期間の吸放湿性能を定量化するために用いられるのが「吸放湿性試験法 JIS A 1470」です。周囲の相対湿度を50%から70%へと上昇させ、さらに50%へと降下させて吸湿と放湿時の重量変化から調湿性能を明らかにしていきます。調湿建材判定基準では29[g / m2]の吸放湿量が確認できた建材を「調湿建材」と規定しています。
 

 
繰り返しになりますが、中・長期的な調湿性能は「平衡含水率」で、比較的短期間における調湿性能を「吸放湿率」で評価しているわけです。
 
左官材の吸放湿性能は、調湿材の混和量で設計できる!
 
下図は有機系の調湿材を左官材に混和して、吸放湿率を測定した結果を示しています。漆喰などの左官材には調湿性能があると言われていますが、ここで使用した漆喰(ブランク)は調湿性能判定基準を満たすことができませんでした。
凡例中にある試料番号の数字部分は、調湿材の混合比率(重量比)を示しています。調湿材の重量比を増やしていくと吸放湿性能は明らかに強化され、重量比で5%以上調合すると調湿建材判定基準を超える吸放湿量が確認できました。他の調湿材でも同様の試験を繰り返したところ、珪藻土などの物理吸着機構を持つ無機材料でも同様の傾向があることがわかりました。
 

 
テストチャンバーで確認できた調湿建材の能力。
 
実際の住宅で調湿建材の効果を確認する前に、断熱材で作ったテストチャンバーの内側に調湿建材を貼り付け、お湯の入った容器を中に入れて湿度の変化を観測しました。比較の対象にしたのは一般的な住宅で広く使われているビニールクロスです。
 

 
ビニールクロスで仕上げた箱は湯の入った容器を入れた直後から相対湿度が急激に上昇して、前面に設けたアクリル板が結露してしまいました。一方、調湿建材を施工した箱では放散した水蒸気が調湿建材に吸収されるため、湿度の上昇も緩慢でアクリル板に結露が生じることはありませんでした。
 
調湿建材の吸放湿性能試験と小規模なチャンバー実験からわかったことは、調湿建材を使用することで部屋の調湿と結露防止効果が期待できるということです。また、調湿材の重量比を調整して最適化設計することができることも明らかになりました。
 
結露や乾燥などを予防・緩和することは快適・健康環境を考える上でとても大切な要素です。一方で加湿器や除湿機などの機械装置を使用して部屋の湿度調節をする場合、エネルギーの利用とメンテナンスが不可欠になります。
 
省エネルギーでパッシブな調湿を可能にする「調湿建材」を使って部屋の快適性を持続的に高めていく取り組みは、健康を志向するこれからの住宅づくりにマッチした技術であると思います。
 
 
 
室内気候研究所 主席研究員
工学博士 石戸谷 裕二
■公式 HP: http://iwall.jp
■ブログ:http://blog.iwall.jp
 
 

Lesson 38 「表面結露」を科学してみよう。2

「結露防止技術の最前線」というコラムの中で、ガラス窓の下部にラジエータを設置する方法について紹介したのですが、もう少し詳しい情報が欲しいというご意見がありましたので、ここで補追しておこうと思います。
 
羽毛のようにフワフワと舞う、浮力噴流の魅力。
 
周囲より温度が高く密度が低い流体は、浮力が駆動力となって上昇を始めます。この流れを浮力噴流といいます。また、上昇し始めた時の運動量がほぼゼロの浮力噴流は、挙動の特徴から特別にプルーム(plume)と呼ばれています。
 

 
タバコの先から立ちのぼる紫煙はプルームの代表格。最初は筋状に立ちのぼる煙(層流)は、ある高さまで上昇すると渦ができ始め(乱流)周囲の空気を巻き込みながら温度差がなくなるまで上昇を続けます。喫煙習慣を肯定する意図はありませんが、観察してみるとタバコの煙も案外美しいものです。
 
ラジエータの上部に生じる上昇気流もプルーム流れです。微気流にのって羽毛がフワフワと立ち昇るように、弱々しいながらも運動量を増しながら静かに上昇していくこの流れを、ガラス面の結露防止に利用できないでしょうか。
 
ガラス面に沿って上昇するプルームは、やがて剥離する。
 
下図は冬のガラス窓のように冷たく垂直な平板に沿って上昇していくプルームの様子を、スモークで可視化しながらスケッチしたものです。床と壁の交点近くに描いたグレーの正方形がラジエータの位置を表しています。
 


ラジエータの設置で結露を予防できることは経験的に知られていたのですが、最適な放熱能力(空気に与えるエネルギー量)を設計できなければデザインにはなりません。恒温恒湿室に冷壁と放熱器を設置して、プルームに与えるエネルギー量を変化させながら何度も、何度も可視化実験を行いました。
 
ある日の深夜、いつものように可視化実験を行なっていた時、放熱器で与えるエネルギー量を小くしていくと、ある時点でプルームが壁面から離脱し室内へと偏向しながら上昇していくことに気づきました(図中、右から2番目と3番目)。さらにエネルギー量を減少させていくとプルームは消滅しましたが、今度はコールドドラフトがラジエータから直接的にエネルギーを獲得して、室内で再び上昇し始めることを、この実験から確認できたのは大変な幸運でした。
 
Buriの形状母数との出会い。
 
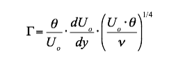
浮力噴流がガラスの表面で冷却されて境界層内部に圧力差が生じるとき、噴流は上昇限界点に達して壁面から剥離することは理論的に予見できました。しかし乱流境界層の剥離現象に関する研究は非常に少なく、それからは剥離現象を説明する論文検索に明け暮れます。インターネットのなかったこの時代、図書館にこもって文献の検索をしていた時に、1931年にチューリッヒ大学に提出されたA.Buriの学位論文と出会います。これがBuriの形状母数:Γとの出会いです。拡大管流れの剥離現象に関するBuriの研究成果を参考に、プルームの剥離現象に関する理論解析を始めることになりました。
 

 
そしてプルームの速度プロファイルから運動量厚さθという概念を新たに定義して解析を続け、ついに剥離が生じる時の形状母数:Λを突き止めたのです。
 

 
剥離高さをデザインして、システムを最適化するということ。
 
恩師がエアコンの冷噴流の到達距離を理論的に解明した、この分野の権威であったことも私にとって大変な幸運でした。研究を開始してから2年後、ようやく剥離高さが以下の母数で表現できることを突き止めたのです。
 

 
結露防止の最適化の手法としてこの研究成果を基にした次式が採用され、結露防止の最適設計に利用されることになったのは研究者としては望外の喜びです
 

 
ライト・アーキテクチャーの勃興に伴ってますます隆盛を極めるガラス建築ですが、この研究成果が外皮性能に弱点をもつガラス建築の室内環境の改善に資することを心から願ってやみません。
 

 
室内気候研究所 主席研究員
工学博士 石戸谷 裕二
■公式 HP: http://iwall.jp
■ブログ:http://blog.iwall.jp
 
 

Lesson 37 「表面結露」を科学してみよう。

住宅の悩みの中でも常にトップクラスの位置を占めるのが「結露」。これまでにも結露が及ぼす害について何度か述べてきましたが、今回はガラス窓の「表面結露」について科学的な考察を加えていくことにしましょう。
 
「表面結露」はどのように進行するのか。
 
朝起きてみるとベランダに通じる掃き出し窓が結露していて、場合によっては床にまで飛散した結露水が溜まっていた、という経験をした人も少なくないかもしれません。でも結露の発生から発達までの様子をじっくりと観察してみた、という人はあまりいないのではないでしょうか。ここでは温度と相対湿度を一定に保つことのできる人工気象室で観察した結露現象の発生と進行の様子を、時間の経過とともに述べてみたいと思います。
 

 
ガラスの表面が露点以下にまで冷えてくると表面はうっすらとくもり始め、だんだんと透明度が下がってきます。さらに時間の経過とともに表面には非常に小さな水滴が発生し始め、近隣の水滴どおしが集合しはじめて水滴の直径は徐々に成長していきます。この時、居室レベルの相対湿度であれば飽和水蒸気中の冷媒配管に生じるような膜状の凝縮が生じることはないようです。
 
水滴の直径が飽和点に達すると付着力よりも重力の方が大きくなり、ついには滴下が始まります。滴下した部分には新たな結露が生じますからガラスについている水滴の量は一定となり凝縮量と滴下量が等しい平衡状態へと移行します。
加湿器や生活放散などによって室内に水蒸気が供給され続ければ、ガラス面からの滴下が止まることはありません。
 
「表面結露」と対流現象のアナロジー。
 
それではガラスに生じる結露の量はどのように予測すれば良いのでしょうか?
 

 
対流熱伝達と物質伝達の間にはアナロジーが成立するという「ルイスの関係」を仮定すると、比較的容易に問題を説明できるかもしれません。ガラス表面ののような垂直平板の自由対流現象はこれまで数多くの研究成果が発表されいて理論解も提案されていますので、実験値の評価もしやすいからです。
 
上図は27℃、60RH%に保たれた人工気象室内に7℃の金属を静置したとき、金属の表面に生じる結露水の量を測定した実験結果を示しています。実験開始後80分の間は経過時間に比例して表面の結露量が増加していることがわかります。この実験では1平方メートル当たり40[g]もの結露水が表面に付着していました。さらに時間が経過すると前述のように結露水の表面からの滴下が始まり、金属板の下部に結露水が溜まっていく様子も再現できました。
 
結露量の実測値から予測した対流熱伝達率は、理論値と精度よく一致していましたので、この実験ではルイスの関係が成立していることが明らかになりました。おそらく窓面で生じるの結露現象でも「ルイスの関係」が成立していると考えることができるわけです。
 

 
一度結露すると、なかなか乾かないワケ。
 
洗面所や浴室のガラスには曇り止め用の装置がついているものがあるようです。ガラスの背面に設置された電気ヒーターや温水の配管でガラスを温め、表面の温度を露点以上に保持する機構を持っています。また自動車に装備されているフロントガラスのデフロストは、エアコンで除湿・加温された空気をフロントガラスに勢い良く吹き付けてガラスを乾燥させる装置です。
 
住宅の窓ガラスの結露水を乾燥させるために自動車のようなデフロスト装置を設置するのは、あまりにも大げさな設備が必要になりそうです。また、水の気化潜熱は584 [kcal/kg]と大きいので、室温を上げて一度結露したガラス面を自然に乾燥させようとすると大量のエネルギーロスを覚悟しなくてはいけません。

「結露」対策は、原因を取り去ることから。
 
結露の発生メカニズムについては以前にも議論しましたが、一般的にはガラスや窓枠の断熱性能が不足して表面温度が低下することが原因と考えられます。結露対策をするとしたら結露後に乾燥させることよりも、やはり結露させない家づくりをすることが大切だ、といえそうです。
 

 
日本では、秋から冬にかけて毎年のように大量販売される結露対策グッズ。
このような対処療法的な手段が不要になる日まで、建築の性能向上を訴え続けていかなくてはいけないと考えています。
 

 
室内気候研究所 主席研究員
工学博士 石戸谷 裕二
■公式 HP: http://iwall.jp
■ブログ:http://blog.iwall.jp
 
 

Lesson 36 「乾燥」が引き起こす疾患やアレルギー。

インフルエンザの大流行が報じられている今年の冬。子供やご長寿さんといった環境弱者にとって、冬の室内環境には死因にもつながりかねない危険がいっぱい存在しています。今回は「乾燥」と「疾病」との関係について考えてみましょう。
 
冬場に増加する呼吸器疾患による死亡率。その原因は?
 
冬季間の死亡原因として恐れられている4大疾病。ヒートショックや運動不足が原因と考えられる「脳血管疾患」「心疾患」「溺死、溺水」についてはこれまでにも何度か取り上げてきました。ここでは低温や乾燥による「呼吸器疾患」について考えてみることにしましょう。
 


<図1>最寒日における4大疾病死亡率の割合

 
北海道大学の羽山教授の研究チームが調査した「住宅内の安全性」に関するデータをもとに、地域ごとの厳寒期の死亡理由を再構成して上図に示しました。冬季の呼吸器疾患による死亡率は比較的温暖な東海以西の地域においても高く、近畿地方では北海道の5倍を超過していることがわかります。断熱技術の普及が広く浸透して冬季間でも快適な環境が得やすい北海道では、他の地域より住宅内の安全性が高いと言えそうです。
 
空気の乾燥によって、人間の防御機能が低下する。
 
室内の相対湿度が低下すると、呼吸器官の粘膜が乾燥してしまいます。粘膜は人体を感染から防御する機能を持っていますので、乾燥によって風邪の原因菌やインフルエンザなどのウィルスが体内に入りやすくなるのです。つまり室内の乾燥によって、呼吸器疾患への感染リスクが高まるということです。 冬に風邪やインフルエンザが流行するのは病原菌が冬に増えるだけでなく、空気の乾燥によって人間の防御機能が落ちることも要因の1つと言えそうです。
 


<図2> 高断熱住宅の冬季室内実測調査

 

図2は北海道の住宅における冬季居住環境の実測調査の結果を示しています。暖房によって室内の温度は健康領域に維持されているものの、相対湿度は快適範囲の下限である40%以下となり、室内の乾燥が進む「過乾燥」が生じていることがわかります。北海道の住宅は断熱技術の発達でヒートショックの予防は万全でも、乾燥による健康被害への対策は十分とはいえないようです。
 
インフルエンザ・ウイルスが弱体化する環境は?
 
冬になると猛威を振るうインフルエンザを予防する建築的な手法はないのでしょうか? G.J.Haperは論文 ”Survival test with for viruses”(1961)の中で「温度20度以上、湿度50~60%の空気中ではインフルエンザウイルスの感染力が低下する」ことを明らかにしました。インフルエンザ・ウイルスは湿度に弱く加湿がインフルエンザ予防に有効であるということが確認されたわけです。
 
また全米空調学会 ASHRAEは「室内有害物質と相対湿度の相関」(図3)をTransaction(1985)に掲載しました。相対湿度を40~60%に保つ事でウイルスなどへの感染やゼンソクの予防、カビの発生抑止などができるという画期的な知見です。現在でも湿度管理の重要性とその効果を定量的に示した情報として、また環境維持の指針としてこの図が世界的に活用されています。
 


<図3> 室内有害物質と相対湿度の相関 (ASHRAE)

 
ドライスキンはアレルギー性皮膚炎を悪化させる。
 
室内空気の乾燥は呼吸器疾患だけではなく、皮膚のアレルギー疾患にも影響を及ぼすと言われています。健康な皮膚や頭髪の水分量は概ね11~13%とされていますが、特に頭髪は水分の吸放湿性能が高いのです。フランス人女性の毛髪が湿度計のセンサーとして長い間利用されてきたことは有名な話です。乾燥は頭髪にも深刻なダメージを与えることが多く、最近では加湿機能のついたヘアドライヤーが人気商品となっています。
 
また、皮膚の健康には「保湿」が重要であることが広く知られています。頭髪と同様に乾燥によって皮膚の水分量が10%以下となる状態をドライスキン(乾燥肌)と言いますが、これが肌荒れ、かゆみ、アレルギー性皮膚炎の原因にもなります。冬場の乾燥はこんなところにも影響を与えているのです。
 
湿度の低下は「寒さ」の原因にもつながる。
 
人間は基礎代謝によって体内で熱産生を行い、それを外界へと放散することで体温を維持しています。成人の熱産生量はおよそ100[W]程度で、1日に食物によって取得したエネルギーの約80%を体温維持に使っていることになります。
 

<図4> 人体の熱産生と熱放散の経路(模式図)

 


<図5> 室内気候の4要素と熱放散の割合


基礎代謝で生じた熱は放射と対流熱伝達によって外界へと放散されます。また呼吸による蒸散作用と皮膚からの不感蒸泄など、湿性放熱の割合は室温20℃で約30%を占めます。空気が乾燥すると蒸散する水分量が増えますので、暖房をつけても体感温度は低くなるのです。乾燥した室内では暖房温度を高く設定しても温かさを感じにくいということです。
 
室内が「乾燥」してしまう原因と、その対策は?
 
室内空気の湿度管理の重要性を、健康と快適という側面から考察してきました。それでは住宅内の乾燥を予防する対策について議論していきましょう。
 
普及が進む高断熱住宅では壁体内の結露を防止するために、防湿層を断熱材の室内側に施工することが推奨されています。また、建築の内装仕上げには防湿製の高いビニールクロスが用いられており、室内で発生した水蒸気はほぼ全量が換気によって屋外へと排出されます。
 
また断熱性能の低い家では室内側の表面温度維持が難しく、結露が発生するために積極的な加湿を行うことがためらわれることも多いようです。室内の相対湿度が高くなりすぎると、カビ、ダニの発生の原因となるばかりでなく、柱や梁、土台などの腐敗の原因ともなりかねません。
 


<図6> 蓄熱・調湿建材を採用した高性能住宅の温湿度実測調査

 
室内の湿度調節は、まず断熱性能を高め室内側の表面温度が露点以下になることを防ぐことから始めましょう。また連続暖房によって室温の過度な変化を抑制することも重要になります。
 
次に、室内の仕上げ材には調湿性能の高い建材を使用し、生活で発生した水蒸気を建材の内部に保持させて、換気による水蒸気の排出を抑制しましょう。
 
これらのパッシブ手法で室内環境を健康的に維持できない場合には、加湿器の使用をお勧めします。しかし、普段のお手入れが十分でないとレジオネラ菌を含む病原物質が繁殖する可能性もありますので、注意が必要です。
 
冬の健康環境を維持するためには、まずパッシブ手法の採用から。これだけではどうしても調整できないときは、機械設備を検討するようにしましょう。
 

 
室内気候研究所 主席研究員
工学博士 石戸谷 裕二
■公式 HP: http://iwall.jp
■ブログ:http://blog.iwall.jp
 
 

Lesson 35 加湿器が原因でレジオネラ菌に感染。死者も。

2018年2月1日付の新聞にショッキングな記事が掲載されました。
 
「大分県国東市の高齢者施設では加湿器が原因で昨年12月~今年1月に、 80~90代の男性3人が「レジオネラ菌」に感染、うち1人が死亡した。今冬、インフルエンザが猛威を振るい加湿器の需要も伸びる中、厚生労働省などは「適切に手入れをしないと集団感染につながる」と注意を呼び掛けている。
(中略)
国立感染症研究所(東京)によると、加湿器による感染はこれまでも東京都や広島県、新潟市で確認され、症例こそ少ないが注意喚起されている。」(西日本新聞、記事原文ママ)。
 
お手入れを怠ると加湿器が致死的な凶器ともなりうる。設備の専門家にとっては公知の事実ですが、加湿器のメンテナンスはまだまだ徹底されていないようです。不幸にも、この事故で死亡された方々のご冥福をお祈りします。
 
危険なのは加湿器内部の細菌繁殖だけでしょうか?
 
加湿器には水を沸騰させて水蒸気を室内に放散する蒸気式加湿器、濡れた布などの表面に風を当てて蒸気を発生させる気化式加湿器、水を振動させて細かな霧(微粒水)を散布する超音波式加湿器があります。
 
蒸気式は水を沸騰させますので比較的細菌の発生リスクが低いと考えられますが、室内の水分量(相対湿度)に関係なく強制的に加湿を行いますので、過加湿(過剰な水分放散)になりやすいという欠点があります。
 
実態を知るためビニールクロスを施工した室内で蒸気式加湿器を運転して、室内の相対湿度がどのように変化するのかを観察してみました。ビニールクロスは日頃のお手入れが簡単な内装材として広く普及している建材です。
 
使用した電気式の蒸気式加湿器は家庭向けに販売されている製品で、タンクの容量は2リットルあります。室内に設置した電子式上皿天秤の上に加湿器を設置して、重量変化から室内への加湿量も測定しました。
 


あっという間に室内は飽和状態。窓には結露が。
 
下図は、室内を換気して十分に乾燥させた後、蒸気加湿器のスイッチを入れて加湿した時の室内の相対湿度の推移の様子です。ビニールクロスを施工した室内では加湿直後から相対湿度が急激に上昇を始め、20分後には健康的な相対湿度範囲と言われる60%を超過。1時間足らずで室内の空気は飽和状態になりました。ビニールクロスの防水性能が仇となったようです。
 
もちろん断熱性能が低い窓面は全面結露の状態です。ガラスやサッシにびっしりと水滴がついているのが目視でも確認できました。目には見えませんが天井や床、壁の表面にも結露が生じていたと考えられます。
 
3時間後に加湿器を切り換気扇を回して室内を乾燥させたところ、相対湿度は短時間で低下して1時間後には快適下限40%を切りました。残されたのは窓ガラスや壁に残された結露水です。結露水が完全に乾くまでの間、カビや病原菌があれば簡単に増殖してしまうことになるでしょう。
 
おそらくこの状況が日本の住宅の現状を示しているのだと思います。
 

 
調湿建材の使用で、室内の相対湿度は安定。自然に吸放湿を。
 
壁に調湿建材を施工した室内でも蒸気式加湿器を同様の方法で運転して、室内の相対湿度の推移を観察してみました。もちろん加湿量はビニールクロスの部屋と同じになるよう2.5 [ g/min ]に制御されています。
 
調湿建材を施工した部屋の相対湿度は下図のように緩やかに上昇していきますが、3時間連続加湿をしても健康範囲である60%をやや超過したあたりで推移。換気による蒸気放出を行なっても相対湿度は緩やかに減少するだけです。
 
加湿器から放散された水蒸気は室内の空気に取り込まれると同時に調湿建材にも吸収され、相対湿度の変動が緩慢になったと考えられます。壁が余分な水蒸気を自然に吸い取って、貯蔵してくれていたのです。
 
また乾燥過程においても調湿建材に取り込まれた水蒸気が室内へと再放散され、相対湿度の変動を緩やかに抑制してました。パッシブな調湿です。
自然の調湿能力を兼ね備えた建材を使用することで室内の湿度環境は安定し、結露などによる細菌の繁殖を抑制してくれる効果が期待できるのです。
 
入浴や炊事、洗濯の乾燥など、日常生活で生じる水蒸気量は4に家族で一日20リットルにも及びます。おおよそ蒸気加湿器10台分の水蒸気が発生している計算です。調湿建材を利用することで、生活で自然に排出される水蒸気を生かしながら、健康的で快適な生活を送ることができそうです。
 

 
機械に頼りすぎない生活習慣で自分の健康を守ろう。
 
家電製品や設備の発達で温度も湿度も空気の質も全て機械任せ、という住宅が増えてきました。同時に居住者はスイッチを入れたら自動的に、しかも永久に環境調整をしてくれるものと盲目的に信じ込んでいるようです。
 
しかしどんな設備でもメンテナンスが不可欠であることを忘れてはいけません。危険はそこにあるのですから、無知だったでは済まされないのです。
 

 
 
室内気候研究所 主席研究員
工学博士 石戸谷 裕二
■公式 HP: http://iwall.jp
■ブログ:http://blog.iwall.jp
 
 

Lesson 34 健康寿命は、冬場の運動量できまる。

 
今や世界有数のご長寿大国になった日本。「ご長寿の秘訣は?」と問われて思い浮かぶのは?やはり医療、介護などの社会保障制度の充実、水や空気の高い清浄度、そして食品の安全性。さらに伝統的な生活習慣や食文化。様々な要素が関係していて一概には言えそうもありませんが、ご長寿に対する敬意と憧れがその根底にあることは間違えないようです。
 
しかし社会問題として捉えられることも少なくない、ご長寿化(高齢化)社会。間近に迫るご長寿化の進展に備え、幸福な長寿社会に課題はないのでしょうか?

平均寿命よりも大切な「健康寿命」とは。
 
ご長寿世代にとって最も深刻な悩みは愛する家族に介護の苦労をかけず、いかに人生を全うすることができるか、ということでしょう。
 

 
また役割を担い社会との関係性を維持しながら、生涯現役であり続けることほど幸福なことはありません。しかし一般的な日本人の平均寿命と健康寿命には男女差はあるものの、10から15年ほどのタイムラグがあると言われています。
 
介護や福祉の領域でよく言われる「ピンピン、コロリ」。でも健康で充実した人生をおくり、思い通りの形で最期を迎えることは、意外に難しい。最近では「終焉をいかに迎えるか」を取り上げた、終活本が大流行りのようです。
 
予測できることもあれば、予測できないことも起きるのが人生です。でも予測できることがあるのであれば、事前に対策を考えておかない手はないでしょう。

居間が寒いと、運動の機会が失われてしまう。
 
学生さんたちと話していて「寒い家」でまず思い浮かぶのは祖父母の家だそうです。断熱性能の低い古い住宅の冬の情景を思い浮かべてみてください。石油ストーブがおかれた寒い居間。コタツでじっとしてテレビを見ている。そんなライフスタイルは想像にかたくありません。しかしその先にあるものは?
 

 
上の図は住宅の温熱環境と居住者の歩行数の関係を調査した結果です。居間や寝室に10℃以上の温度差(日較差)があるだけで、運動量はかなり減少することがわかります。居間が寒いと運動量は自然と減ってしまうのです。
 
また寝室やトイレなど、非居住空間が寒いと居間に籠もりがちになり、これも運動量を減少させる原因となります。室温の低下が運動量の低下を招き、ひいては健康寿命を短くすることがあるということです。寒さを我慢して光熱費を浮かしても医療費や介護費の出費が増えるばかりで、人生は豊かになりません。

意外に多い、住宅での転倒事故死!
 
内閣府が発表した「平成29年版高齢者白書」によれば家庭内での事故死者数は交通事故の死者数を大きく上回っており、転倒、つまづき、転落による死亡事故が後を絶たないようです。転倒事故の発生リスクが最も高いのは居間であり、続いて玄関、階段の順になっています。
 
ちょっとした段差でつまづき、救急搬送される方は年間1万人を超え、特に転倒リスクの高いご長寿さんは事故死に加えて長期入院のリスクも高いことから、寝たきりの原因にもつながりかねないとの指摘もあります。従来は段差のないバリアフリーの住宅の普及が転倒事故防止の決め手になるかと期待されてきましたが、転倒事故の原因は建築の段差だけではないようです。
 
先に述べたように冬季間はどうしても運動不足になり、ご長寿さんの筋力も急激に低下してしまいます。また運動感覚も次第に麻痺しがちになりますので、ちょっとした家事をしようとした時に事故に巻き込まれることがあるのです。
 
寒さと同居する住宅では、ヒートショックによる入浴中の溺死者の増加が取りあげられることが多いのですが、室温低下による運動不足が引き起こす転倒事故の増加にも注意が必要なようです。
 
一度寝たきりになると、自立復帰はなかなかできない。
 
家庭内の転倒やつまづき事故で寝たきりになった方の総数に関する研究はまだまだ端緒についたばかりのようですが、一度寝たきりになると介護なしに生きていくことは難しい、という現状があります。下の図は寝たきりになった方の「寝たきり期間」に関する調査結果をまとめたものです。
 


「寝たきり期間」が3年以上に及ぶ寝たきり者の数は全体の約6割にも上り、10年以上寝たきり方も全体の2割を超えています。介護職員の定着率がなかなか改善されず、家族の介護離職や老老介護が社会的な問題として顕在化する現代。ご長寿さんの健康寿命が格差の原因にさえなろうとしてるのです。
 
健康寿命を左右する室内気候はいつ準備するのか?
 
前述のようにヒートショックによる脳血管疾患や心疾患のリスクは広く知られるようになってきましたが、冬場の運動不足に起因した転倒事故のリスク増大は一般的に十分認知されたとは言えないようです。
 
ご長寿県と言われる県や地域では、ご長寿さんの運動指導や地域コミュニティ形成に注目した活動を推進しているところが多いと聞きます。私の通っているスポーツジムのメンバーは、大半がご長寿さんです。よく食べ、よく睡眠をとり、よく運動することが健康寿命を延ばすためのカギを握っているのです。
 
ご長寿さんができるだけ自立した生活を長く維持していくためには、筋力や運動能力の維持が不可欠です。また、冬季間の部屋の寒さが運動不足の原因となり、転倒事故の引き金にもなりうることを知っておくべきです。
 
もちろん「寒さ」を家から排除するためには高い断熱・気密性能が不可欠ですが、これをご長寿世代になってから改修しようとすると新築に匹敵するような大変な工事が必要になります。繰り返しになりますがまずは断熱・気密性能を高め、居間にぶら下がり棒や両手を広げて軽運動ができるスペースを用意しておくことが効果的かもしれません。
 
一方で3,000万戸とも言われている無断熱住宅ストックに対する、簡易で効果的な断熱改修構法の構築も喫緊の課題となっています。室内気候研究所でも北海道職業能力開発大学校の皆さんの協力を得ながら、効果的な断熱・蓄熱改修の開発に取り組んでいるところです。
 
どうやら健康的な温熱環境づくりを考える時には、ご長寿さんになった時の自分が生活している場面を想像することが大切なようです。
 
 

室内気候研究所 主席研究員
工学博士 石戸谷 裕二
■公式 HP: http://iwall.jp
■ブログ:http://blog.iwall.jp
 
 

Lesson 33 「結露」防止技術の最前線。

 
住宅の断熱・気密施工の不備や弱点を顕在化させる「結露」。
カビや不朽菌の発生など健康や建築にとって重大な被害を及ぼす原因にもなる「結露」を防止する技術開発の最前線をのぞいてみることにしましょう。
 
プラズマディスプレー技術で真空ガラスを製造。Ug=0.7を実現。
 
窓の結露を根本的に解決しようとするなら、まずはガラスとサッシュの断熱性能を強化することが肝要でしょう。
 
パナソニック株式会社は「PDPの製造技術を応用して厚さ6mm、熱貫流率(Ug値)0.7 [W/m2/K]の複層ガラスの製造に成功した」とプレスリリースで発表しました。アルゴンガス入りのトリプルガラスに匹敵する断熱性能が厚さ20%のペアガラスで実現できるというのですから、軽量化と省資源という建築材料の課題に対する新たな提案として衝撃的なニュースとなりました。
 
パナソニック プレスリリース(http://news.panasonic.com/jp/press/data/2017/12/jn171205-1/jn171205-1.html)
 
透明エアロゲルも量産化に向けた研究開発が進む。
 
軽量かつ透明なエアロゲル断熱材の開発も、量産化の一歩手前まで進捗しているようです。「京都大学発の素材開発ベンチャー、ティエムファクトリ(東京都江東区)は、透明性が高い窓用断熱材を工業材料化する事業を本格的に始めた。京大との共同研究で、軽量で断熱性が極めて高い「エアロゲル」と呼ぶスポンジ状の発泡体を透明化。板状にして窓の断熱材として活用する。断熱材の名称は「SUFA(スーファ)」で、透明な窓にサンドイッチのように挟むだけで従来の断熱材をはるかにしのぐ効果が得られるという。」(原文:産経ニュース電子版)
 
先日大阪で開催されたエネマネハウス2017でもエアロゲル断熱材を採用した住宅が展示され、見学者の注目を集めていました。不燃性能を特徴とする無機断熱材の世界も、エアロゲルという新素材の登場によって革新的な変化が訪れようとしています。
 
放熱器からの自然対流を科学して結露防止を理論的に最適化。
 
ガラスの工業的な生産技術の開発と鉄骨造建築の融合により「ガラス建築」が隆盛を極める現代。その原点とも言えるオランジェリーやクリスタルパレスの環境創生には、ラジエーターなど自然対流・放射型放熱器が当初から利用されてきました。欧州ではセントラルヒーティングの主役は今もラジエーターで、住宅はもとより、学校や病院、ホテルや空港などいたるところでラジエーターが活躍している様子を目にすることができます。
 
室内気候研究所はラジエーターなどの自然対流型放熱器の上部に生じた自由噴流に着目し、コールドドラフトや結露の防止機構を世界で初めて理論的に定式化してラジエーターの最適設計を可能にしました。1990年代以降、ガラスの天蓋空間いわゆる「アトリウム」が全国的に流行しましたが、現在でも多くのガラス建築でこの設計理論が活用されています。
 

 
<写真1 国際会議場のロビーに設置されたラジエーター(ガラス下部)>

 
可能な限り少ないエネルギーで効率よく結露を防止。
 
断熱強化など建築的な技術では「結露」を完全に防止することができない場合、補助的な手法としてラジエーターなどの設備が設置されます。ラジエータの設計で大切なのは窓ガラスの断熱性能や外気温度に合わせ、必要最小限のエネルギーで効率よく結露を防止することです。そのためにはラジエーター上部に生じる噴流 pure plumeの特徴を科学的に把握しておく必要があります。
 


<写真2 ドラフト防止効果の可視化実験の様子>

 
研究室レベルでは何度も実験を繰り返し、その特徴を把握したつもりでいましたが、実際の工事現場で可視化実験を実施することも。結露防止効果の確認をとおして理論の検証作業を行ってきましたが、建築現場での実験は設計理論の開発者にとって最も緊張する場面です。
 
最新技術で建築のデザインが劇的に変化していく。
 
ご紹介したように真空ガラスやシリカエアロゲル断熱材などの新規技術の導入によってガラスの断熱性能は飛躍的に向上し、ガラス建築をはじめとしたライトアーキテクチャーのデザインは劇的に変化することになるでしょう。
 
同様に住宅建築のデザインにとって核心的な意味を持つ開口部デザインにも、新たな波が押し寄せようとしています。「ウチ」と「ソト」をあるときは遮断し、あるときは連携させる開口部。新たな定義の構築を目指して、健康環境に貢献する開口部の研究開発を継続していきます。
 

<図1 ガラス周りの空気の流れ(スケッチ)>

 
 

室内気候研究所 主席研究員
工学博士 石戸谷 裕二
■公式 HP: http://iwall.jp
■ブログ:http://blog.iwall.jp
 
 

Lesson 32 「結露」するのが前提の建築でいいのか?

いまだに「結露」が克服できない日本建築の現状。
 
この時期になると毎年悩まされるのが窓周りの「結露」、という方も多いのではないでしょうか?DIYショップの店先にも結露害を軽減してくれるフィルムやシートが大量に陳列されているところを見ると、冬場に生じる窓ガラスの結露は未だに解決されたわけではないようです。
 

<写真1> 高級ホテルの窓に設置されている結露受け

 
日本で結露害を解決できない理由は一体どこにあるのでしょうか?
結露の物理的メカニズムが解明できない? 抜本的に解決できる策が提案されていない? 技術的に困難? 経済的な事情で解決はできない?
 
結論的に言えば、このいずれでもないことは明らかです。結露がもたらす害を正確に理解し、結露しないことが当然のことと受け止められる社会的合意が醸成されることが不可欠です。大学の授業でも繰り返し「結露」の講義してきましたが、建築の専門家となった元学生たちの活躍にも期待したいところです。
 
放置しておくと危険な「結露」。
 
建築で生じる結露には2種類あることをご存知でしょうか?
 
窓ガラスや外壁の表面で生じる「表面結露」と、壁や屋根などの躯体内で生じる「内部結露」です。タンスの裏や押入れの中など目に付きにくい部分を別にすれば、表面結露は発見することも容易ですから、清掃などの処置も可能です。しかし放置しておくと表面結露はカビや細菌の温床となりやすく、中には窓周りの仕上げ材料が剥離して見るも無残な姿になっている住宅もあるようです。
 
一方、壁や天井、床下など躯体の内部で生じる「内部結露」は発見が難しく、気がついた時には取り返しのつかない被害へと発展することも珍しくありません。高断熱・高気密住宅の萌芽期である1980年代には内部結露を原因とした「ナミダダケ事件」が発生し土台が腐食するなど、大切な住宅に致命的な損害を与えるという痛ましい現象が頻発しました。学生時代に床下に潜り込み、結露防止に向けた技術開発のために環境実測調査をしたことが記憶に残っています。
 
「結露」を科学する。
 
結露の発生メカニズムは比較的容易ですので、ここでもう一度復習することにしましょう。空気には水蒸気を気体のまま保持することができるという性質があり、保持できる水蒸気の最大量(飽和水蒸気量)は空気の温度と密接な関係があります。圧力が等しければ高温の空気ほど飽和水蒸気量は大きくなります。
 
下の模式図に示したように人間の快適・健康範囲である20℃、相対湿度60%の空気を徐々に冷やしていくと空気の飽和水蒸気量(図の容器の大きさ)は減少していきますので、相対的な湿度(水位)が高まっていくことになります。さらに冷却して空気が12℃になると水蒸気量と飽和水蒸気量は等しくなり、これ以上気体のまま水蒸気を保持することができなくなります(飽和状態)。
さらに冷却が進むと気体として保持できなくなった水蒸気は液体へと相変化し、結露水として可視化されることになります。
 


<図1>結露の発生メカニズムの模式図

 

「結露」を窓ガラスの断熱性能との関係で整理してみることにしましょう。
下の図の横軸は外気温度、縦軸はガラスの表面温度を示しています。先ほどと同様に室内の空気温度は20℃、相対湿度は60%であるとします。
 


<図2> ガラス表面の温度と外気温度の関係

 

ガラスの表面温度は外気温度が低下するに従って低くなりますが、ガラスの断熱性能によってその度合いは異なります。温暖地域の窓に見られるような単板ガラスでは外気温度が6.9℃まで下がると露点温度に達し、結露が生じることになります。これを複層ガラスに交換すると外気温-6.7℃に低下するまで結露を生じることはありません。この時、窓枠の断熱性能が低いとガラス面ばかりでなく窓枠にも結露しますので注意が必要です。
 
結露を防止するためには、
 
  1)表面温度が低下するのを防ぐこと(断熱性能を強化すること)
  2)室内の水蒸気量を適切に維持し必要以上に水蒸気量を増加させないこと
 
が必要になるのです。
 
最近、父の日のプレゼントとして流行している真空断熱タンブラーは容器の断熱性能を高め、タンブラー表面の温度を高める機構を持っています。また、ガラス窓の近くに放熱器など熱を放散する機器を設置することも大変有用な結露防止対策になります。
 


<写真> 窓ガラスの前に設置された電気式放熱器

 

欧州では「結露」が生じる可能性のあるような断熱性能の低い住宅を建設することが法的に厳しく規制されており、日本のように結露で曇った窓ガラスを見ることはできません。日本でも結露のない住宅が当たり前になる日がくることを目標に、これからも啓蒙活動をして行きたいと思います。
 
 

室内気候研究所 主席研究員
工学博士 石戸谷 裕二
■公式 HP: http://iwall.jp
■ブログ:http://blog.iwall.jp
 
 

Lesson 31 「不快でない」ということの価値。

「不快さ」とは何か?
 
人間の五感は生存の危機を自らに知らせるために存在し、そして発達してきま した。冬の寒さは「寒いと感じている自分が存在している」という警鐘であり、 このままその状態を放置すれば、体温が低下して死に至る可能性があることを 示唆してくれているのです。同時に「寒さ」は「不快である」という感覚に直 結しており、不快感の生起する環境条件には個人差がほとんどありません。
 
「不快さ」をそのままにしておくことの危険。

「不快」だと感じる空間をそのまま放置することは、住宅に存在する危険因子 をそのまま放っておくということに他なりません。頻度は低いものの、たまに 爆発して怪我を負う可能性のある炊飯器でご飯を炊く人はいないでしょう。今 や交通事故死者よりも多くなったといわれる家庭内での溺死者数。住宅にある 「不快さ」は、健康被害をもたらす直接的な原因ともなり得ます。


 
精神を鍛錬するためには、怪我の危険性も甘受できるのか?

体育施設関連の専門家を集めた会合で「施設の環境を適切に維持・調整するこ との意義」について講演した時のこと。講演後、参加者から次のような質問が あり、唖然とさせられたのを鮮明に記憶しています。

参加者「寒稽古のように、厳しい環境の中で練習することで子供の精神は鍛錬 されるのではないでしょうか? もやしっ子が育つような環境では・・・。」
 
冷たさや痛さに耐え、不平や不満を言わない子供を育てることがスポーツの主 たる目的であるなら、この論旨も正当性を帯びることになりますが、怪我や事 故の可能性を排除せずに生涯学習の場である体育施設を運営することは社会的 な役割を逸脱している、と私は答えました。
 
種目によって最適な室内温度に差はあるにせよ、室温を維持し怪我を予防する 措置を取らずにスポーツをすることは合理的であるとは言えないと考えます。
 

体内の温度分布(室温20°C、35°Cの場合)
 
脳の温度が低下しそうになると抹消血流は抑制され、手足の温度が低下する。
脳は自分の生存のために、手足を簡単に切り捨てる!

 
 
「不快でない」ことは空間づくりの前提条件です。

自然の脅威から身を守り、安全と健康を担保してくれる住宅。

健康にとって危険がある「不快な家」を豪奢に飾り立てても意味はありません。 家族が安心して暮らすことができる家。創造的な活動がしたくなる家。ストレ スがたまらず、集中力を維持できる家。団欒を楽しみゆっくりと休息できる家。
 
「快適な家」をつくることは危険がないという幸せを獲得するという、必要最 低限の欲求に応えることに過ぎないのではないでしょうか。
 
「快適」とは「不快でない」という意味に過ぎず、全部が解決されたとしても 到達点はゼロなのですから。
 


今年も一年間、大変お世話になりました。
読者の皆様が幸せな新年を迎えられることを、心からお祈り申し上げます。

 
 

室内気候研究所 主席研究員
工学博士 石戸谷 裕二
■公式 HP: http://iwall.jp
■ブログ:http://blog.iwall.jp

Lesson 30 LOHASな室内気候のつくりかた。 その2

 潜熱蓄熱建材は、住宅の【保・健・材】。

潜熱蓄熱を利用した機能性商品で最も身近に普及しているもの。それは食品を 購入した際に受け取る「保冷剤」でしょう。家まで持ち帰る間の数時間、ケー キや生鮮食品の鮮度を維持してくれる優れモノです。原料も大変安価な事から、 再利用もできますが、使い捨でもよい材料という価値感が定着していますね。
 
コンビニのお弁当やおにぎりを最適な温度に維持したまま工場から店舗へ輸送 するときには「保温材」という潜熱蓄熱製品が使用されています。また血液製 剤など一定温度での管理が必要な製品を、航空機などで長距離輸送する定温輸 送でも潜熱熱技術が活躍しています。
 
最近では潜熱蓄熱材のカプセルを繊維の中に練りこんで分散させた「保温衣料」 や「採涼寝具」が発売され、瞬く間に普及してきました。自動車のアイドリン グストップ時の空調を一定温度に保ってくれるスタビュライザーも、見えない ところで活躍する潜熱蓄熱技術の応用によって実現されています。
 


 
それでは建築の室内側に施工する潜熱蓄熱建材に呼称をつけるとすれば?
 
それは室内の温熱環境を快適で健康な範囲に保ってくれる『保健材』というこ とになるのではないでしょうか。
 
暑さや寒さという不快な感覚は健康に対する危険信号です。これらを未然に防 止して、自然に快適さを維持してくれるのが「保健材」。生活をする上で快適 な温度範囲は、四季を問わず非常に狭い温度帯に限定されています。外気温や 日射の影響で室温が過度に変化するのを抑え、空調機に頼りすぎることなく室 内を快適に維持してくれる材料。それが『保健材』としての潜熱蓄熱建材です
 

【潜熱蓄熱建材】の設計について、考えてみましょう。

『保健材』の設計を最適化するために必要なことは何でしょうか?

ケーキボックスに「保冷剤」をたくさん入れてもらっても、家に着く頃には全 部溶けてしまった経験はありませんか?ケーキボックスの代わりに保温性の高 い発泡スチロールの箱を使うと、保冷剤の効果も長持ちさせることができます。
 
潜熱蓄熱建材も室温を快適に維持する効果がありますが、住宅の断熱性能とも 密接な関係がありそうです。
 

 
ここでは住宅の断熱性能と蓄熱性能を合理的に、しかも簡便に設計するための 図表を紹介していきたいと思います。
 
左図は住宅の断熱性能と、期待する蓄熱効果の関係を示しています。斜線で示 したのは自然室温といって壁への潜熱蓄熱で何時間、室温を維持できるのかを 示しています。この値を設計の目安として利用してください。単位は [deg h] で、室温を1時間だけ1[K]高めてくれる能力を示しています。例えば40[deg h]は、室温を5 [K]、8 [h]上昇させることのできる能力のことで、日射熱をこ の分量だけ蓄積しておけば、暖房エネルギーの消費を抑えることができます。
 
右図は潜熱蓄熱建材「エコナウォール25」の施工面積と、最大蓄熱能力の関係 を示しています。PCMの添加量の違いで、蓄熱性能が異なる2種類の左官材料 が準備されています。
 
それでは下図で実際の設計手順に沿って説明していきたいと思います。初めに 実施するのは建物の総熱損失係数を計算することです。まだ計画段階にある場 合には、想定される断熱性能をもとに仮定しても構いません。外皮平均熱貫流 率に外皮面積を掛け合わせた値を、設計内外温度差で除して求めてください。 この値を下左図の横軸にプロットします。
 
続いて自然温度差を設定します。内部取得熱が予測できる場合には、それを総 熱損失係数で除した値を採用します。
 

 
自然温度差は省エネルギー率にも直結した値となりますが、これまでの実証住 宅での実測結果から、自然温度差が60 [deg h]を超過すると省エネ率は40%以 上になることがわかっています。一般的には40 [deg h]が高蓄熱住宅の目安と なりますので、これを目標として設計すると良いと思います。
 
次に総熱損失係数と自然温度差の交点を求め、水平に右図に移行して建材の施 工面積線との交点を求めます。2種類の建材のいずれを選択すれば良いか、施 工可能面積との兼ね合いで決定してください。
 
省エネルギー率を予測したい場合には、自然温度差を含まない総熱損失量をデ グリーデー法で計算してください。自然温度差 [deg h]の期間積算値との比が 省エネルギー率となります。
 
実証住宅で測定した省エネルギー率は平均50%!
 
潜熱蓄熱建材の性能を実証するため、実証住宅で省エネルギー性能を測定した 結果を集計したのが下図です。ここでは6軒の住宅で省エネルギー率を掲載し ましたが、全体の平均値は50%にも達することが明らかになりました。
 

 
以前にも紹介しましたが、高断熱・高気密住宅で生じている過昇温による健康 被害を抑えて快適な環境を維持してくれる『保健材』としての潜熱蓄熱建材。
 
日射熱や夜間の冷涼な外気が持つ冷熱を上手に活用して、省エネルギーと環境 インパクトの低減にも活躍してくれます。
 

 
 

室内気候研究所 主席研究員
工学博士 石戸谷 裕二
■公式 HP: http://iwall.jp
■ブログ:http://blog.iwall.jp

Lesson 29 LOHASな室内気候のつくりかた。 その1

 
LOHASな室内気候って?
 
【LOHAS】とは ”Lifestyles of Health and Sustainability”の頭文字をとった造語で、1990年代にアメリカで発祥した「健康と地球環境の持続可能性を大切にする暮らし方(価値観)」を意味します。「居住者の健康と省エネルギーを両立させる」という現代建築の重要課題を象徴するような言葉かもしれません。ここでは【LOHAS】な暮らしを支える室内気候のつくりかたについて考えてみたいと思います。
 
住宅が「穴の空いたバケツ」だったら?
 
住宅の熱収支をある程度正確に、しかも直感的に理解するために一つの物理モデルを導入することにしましょう。「下部に穴の開いたバケツ」を想像してみてください。このモデルではバケツへの水の出入りとバケツの中の水位が、住宅内での熱の振る舞いと温熱環境を表しています。
 
バケツの上部には蛇口があって任意の量の水(熱)を供給することができます。蛇口は室内に供給する熱の経路を表しており、水(熱)源には暖房装置、日射熱や生活に伴う排熱などがあります。日射や内部発生熱をうまく活用できれば暖房装置の稼働量を抑えられますから、エネルギーの使用量が削減できることになるわけです。ではどうやって日射熱を利用すれば良いのでしょうか?
 
高断熱・高気密化は『バケツの穴をふさぐ作業』です。
 
バケツの底部には穴が空いていますので、穴の大きさと水の供給量によって水位(室温)は決まります。バケツの底がザルならば、どんなに大量の水を供給しても水は溜まりません。断熱性能の低い家や無断熱の家は底の抜けたバケツのようなものですから、任意の水位(室温)を維持することはできないのです。
これまで多くの専門家が努力と工夫を積み重ねてきた住宅の高断熱・高気密化技術はバケツの穴をできるだけ小さくして、好みの水位(室温)を簡単に維持できるようにする活動だった、ということができるかもしれません。
 

 
「バケツの大きさ」がこれからの課題。
 
バケツの穴をできるだけ小さくして、少量の給水で高い水位(室温)を維持することが可能になった現在の高断熱・高気密住宅にも新たな課題があります。それはバケツの容量に原因があります。バケツの容量が小さいと晴天日に日射熱(水)が急激に供給された時、バケツの水位は思わぬ上昇をしてしまいます。断熱性能の低い家では生じることがなかった「意図しない急激な室温上昇(過昇温)」が生じて、相対湿度が過度に低下する原因になっているのです。
 
以前の講座でも指摘しましたが、人間の健康にとって好ましい相対湿度の範囲は40から60%程度であると言われています。この範囲を逸脱するとウイルスや病原菌が繁殖しやすくなり咽頭部や気管が乾燥して風邪をひく原因にもなります。それではバケツの容量を増やすには、どのようにしたら良いのでしょうか?

【潜熱蓄熱建材】がバケツの大きさを容易に拡大する。
 
物理学ではこのバケツの大きさのことを熱容量と呼んでいます。バケツへの水の供給量と排出量が常に同じであれば(定常状態)、バケツの容量に関係なく水位は一定に保たれます。しかし、外気温度や日射量は天候によって常に変化していますので、室温もこれに連れて変化してしまいます。バケツの容量が大きいと水の需給関係が一時的に崩れても、バケツがバッファーの役割をしますから、安定した水位(室温)を維持することができるのです。
 


それではバケツの容量を増すための方法にはどのようなものがあるのでしょうか?石造りの家や土蔵は安定した室温が得られるので、古くから気候の厳しい地方の住宅や貯蔵施設の構法として広く普及してきました。土蔵やワインセラー、蔵座敷などが代表例ですね。コンクリート造の建物もこれと同様の特徴を持っています。それでは木造住宅でバケツの容量を増す方法はないのでしょうか?ここで紹介する【潜熱蓄熱建材】は比較的熱容量に恵まれない木造の高断熱・高気密住宅の室内環境を安定させるために開発された技術です。
 
潜熱蓄熱材は快適な室温範囲で生じる温度変化でも、融解と凝固を繰り返しながら多くの熱を蓄積することのできる材料です。最近では保温性の高い衣服や自動車のエアコン部品としても利用されている潜熱蓄熱材。レンガやコンクリートに比べて、少ない温度変化でも住宅の蓄熱性能を圧倒的に高めることができるという特徴があります。この潜熱蓄熱材を室内の仕上げ材料として施工することで、木造住宅の熱容量は容易に増大させることができます。潜熱蓄熱建材は『LOHAS』な暮らしをサポートできる建材なのです。
 
熱容量が健康と省エネルギー、そして『LOHAS』に貢献する。
 
室内の熱容量(バケツの容量)を大きくするとどんな効果が期待できるのでしょうか?もう一度考えてみましょう。
 

 
秋から冬、そして春にかけての晴天日、太陽高度が夏より低いこの季節には部屋の奥深くまで日射が差し込んできます。でも熱容量の小さな家にとって強力な日射受熱は過昇温を招く厄介者にすぎません。
 
熱容量の大きな家では日射熱を壁、床、天井などの躯体に貯め込み、夜間の暖房用の熱源として利用することができるようになります。同時に室温(水位)の変動は抑制されて安定しますので、過乾燥によって健康に被害が出ることも予防することができます。まさに一石二鳥の効果が期待できるのです。
 
高断熱・高気密の先にある「高蓄熱住宅」に期待。
 
北日本ばかりでなく東日本や近畿、九州含む西日本でも「寒冷な冬季」を気候的特色に持つ日本。しかし西欧などと比較して低緯度地域に位置するという地理的な特徴を生かし、環境調整のために日射を利用することは古来から日本の伝統的家屋に見られる普遍的な技術です。
 
四季折々の変化を楽しませてくれる安定した室内環境づくり。
 
室内が寒すぎたり暑すぎたりしては、本当の意味で四季を楽しむことは不可能です。ゼロ・エネルギーハウスの構築が実現可能性を帯びてきた現代の住居に求められる健康・快適な暮らしとは?さらにそこに居るだけで「学びたくなる」なるような、「知的な活動をしたくなる」ような創造性にあふれた家づくりのベースとなる室内気候が提供できる時代が、ようやく到来したと言えるのかもしれません。
 
 

室内気候研究所 主席研究員
工学博士 石戸谷 裕二
■公式 HP: http://iwall.jp
■ブログ:http://blog.iwall.jp

Lesson 28 ウェルネス住宅を、家計から再評価してみよう。

省エネ住宅は、ウェルネス住宅になれるか?
 
これまで住宅におけるエネルギー利用のあり方について、いろいろと議論してきました。今回は子供たちやご長寿さん、障害のある方など、住環境の質による影響を受けやすい「環境弱者」の方々も安心して生活できる「健康維持・増進住宅(ウェルネス住宅)」について考えてみましょう。
 
国土交通省が推進する「スマートウェルネス住宅等推進モデル事業」は、高齢者、障害者又は子育て世帯の居住の安定確保及び健康の維持・増進に資する事業費用の一部を補助するものです(公式ホームページより)。これまで住宅のエネルギー効率の向上(スマート化)一辺倒だった住宅政策が、健康や快適を目途に大きく転換することは国民ニーズに応えた好適な反応だと思います。
 
住宅の性能を第三者認証によって示す評価システム「CASBEE®」を開発してきた(一社)日本サステナブル建築協会も、住宅の省エネルギー化による居住環境改善が疾病予防、介護予防等にもたらす効果を明らかにするための調査研究を進めており、その研究成果が期待されるところです。
 

 
ウエルネス住宅の設計指針を、家計から再構築してみましょう。
 
それでは住宅デザインの実務で居住者のウエルネスを考慮した設計をするために必要となる普遍的な価値について考えてみることにしましょう。
 
下の図は「iWall構法」を採用した住宅における家計収支を、床面積で原単位化して示したものです。光熱費は測定値、医療費・介護費、教育費は国民一人当たりの平均値から予測して示しました。また将来、二人のお子さんが巣立ちご夫婦二人で暮らすことを想定した将来家計の予測値も併せて示しました。
 
意外に少ない「光熱費」。ZEH化への投資は本当に必要か?
 
下図の左部分に、2016年4月20日から2017年4月19日までの一年間、実住宅の給湯・調理・照明などを含む全エネルギー消費を実測して示しました。外皮平均熱貫流率 UA値が 0.22 [W/m2/K]と基準値 0.46 を大幅に下回る建築性能で、潜熱蓄熱材により蓄熱性能も高めたこの住宅では、年間の光熱費が 1,000 [円/m2]に過ぎません。断熱・気密・蓄熱のパッシブ技術が資源・エネルギー利用の高効率化に貢献できる証左になっています。制度の趣旨に照らすなら、この住宅に設備を追加的に投資して「ZEH化」することに意味はあるでしょうか?
 

 
医療介護費の抑制は、次世代社会の重要な課題です。
 
厚生労働省によれば平成26年度の人口一人当たり国民医療費は、65歳未満で17万9,600円、65歳以上は72万4,400円であり、総額は40兆円を超過しているそうです(厚生労働省:平成26年度 国民医療費の概況)。また、少子化やご長寿社会の進捗により、今後も医療費はさらに増大する見込みです。
 
当該住宅における床面積原単位の医療費も光熱費を遥かに凌ぐ 13.5 [千円/m2]ですから、健康や快適に資する住宅を建設することは居住者個人にとってはもちろんのこと、社会全体にとっても喫緊の課題であると言えそうです。
 
環境弱者にとって、冬季間の室温や相対湿度の低下は呼吸器系疾患の罹患率を高める危険があります。また浴室の室温が維持されないことに起因したヒートショックで、毎年多くの尊い命が失われていることを忘れてはいけません。さらに居間と寝室などの居室間温度差の増大はご長寿さんたちの運動量の低下を招き、延いては循環器系、呼吸器系疾患の引き鉄ともなりかねません。
 
年間を通して光熱費を気にすることなく、健康で快適な生活をすることができる住宅づくりが求められていくでしょう。
 
 
人づくり・働き方改革は、住宅の知的生産性の向上が基本です!
 
最後に家庭での知的創造性の向上に対する投資の必要性について考えてみましょう。幼児教育から大学での高等教育まで、すべて公立学校で教育を受ける場合の生涯教育費は1,000万円程度であり、すべて私立学校に通う場合では 2,000万円以上の費用がかかると言われています。原単位化したグラフを見ても、教育費は8.4 [千円/m2]と光熱費を大きく上回っています。
 
一方、AIやIoTの普及に伴ってテレワークなど在宅で就業している人口は年々増加しており、今後もこの傾向が強まっていくものと考えられます。毎日会社に出勤し、全従業員が共に生産活動を行う日はやがて終焉を迎えそうです。
 
明日の生産活動の糧として十分な休養を与えてくれる空間としてのみならず「学びたくなる家」「働きたくなる家」を創造していくことは、今後の住宅デザインを考える上で一つの大きなテーマになっていくことでしょう。
 

 

「住宅づくり」を家計という経済活動を通して再整理し、評価してみると住宅投資が向かうべき、新たなコンセプトが見えてくるようです。
 
資源・エネルギーから健康・快適へ。
そして知的生産性の向上へと、投資先の変更が必要な時代です。
 
 
 
 

室内気候研究所 主席研究員
工学博士 石戸谷 裕二
■公式 HP: http://iwall.jp
■ブログ:http://blog.iwall.jp

Lesson 27 省エネルギー基準が求めるのは健康な住まい。

1970年代に起きた二度にわたるオイルショックを覚えていますか?
 
1973(昭和48)年10月に勃発した第四次中東戦争の影響を受け、石油輸出国機構(OPEC)加盟の産油6カ国は原油公示価格を即時21%引き上げるとともに、原油の減産を決定しました。いわゆる第一次オイルショックの始まりです。
 
石油価格の上昇は、主要エネルギーの大部分を中東からの石油に依存してきた日本の経済を大きく揺るがす事態となりました。結果として急速にインフレが加速したために公定歩合が引き上げられ、戦後続いてきた高度経済成長がいよいよ終焉を迎えることになります。便乗値上げも相次ぎ、トイレットペーパーや洗剤などをはじめとする生活物資の買占め騒動、デパートのエスカレータの運転中止などの社会現象が生じました。3.11後を彷彿とさせる事態です。
 
さらに1978(昭和53)年のイラン革命により同国内の石油生産が中断し、イランから大量の原油を輸入していた日本では石油の需給が逼迫する事態となり、原油価格は高騰しました。これが第二次オイルショックです。
 
二度にわたるオイルショックを経て、日本経済が中東の石油エネルギーに極端に依存していることへの危機感が、国民の間で共有される結果となりました。政府機関による中東以外での新規油田の開発が積極的に行われるようになり、同時に原子力や風力、太陽光など新エネルギーへの転換や、省エネルギー技術の本格的な開発促進に対する関心が高まることになります。このころ、北海道では産学官が連携した「高断熱・高気密」住宅の研究開発がスタートします。
 
こうした社会状況を契機として昭和55(1980)年には「エネルギーの使用合理化に関する法律」(通称、省エネ法)が制定されました。この法律に基づく2つの告示、「建築主の判断の基準」と「設計、施工の指針」が省エネルギー住宅に関する新たな基準となります。現在でも「建築主の判断基準」は「性能規定」、「設計、施工の指針」は「仕様規定」と呼ばれています。
 
冬暖かく、夏涼しい「快適住宅」の基礎は省エネ基準にある?
 
それでは住宅における省エネルギー規制の成立は、単にエネルギー使用量の抑制だけが目的だったのでしょうか?
 
住宅の「性能規定」や「仕様規定」では躯体の断面構成や開口部の仕様など、住宅の断熱性能に関わる詳細な検討が行われ、住宅からの熱損失量を低減するために必要な最低限の性能目標が、気候区分ごとに初めて規格化されることになりました。一方で、省エネ基準の施行は住宅における温熱環境の観点からも重要な転換点であったと言う見方には異論がありません。

右図は現在5,000万戸以上もあると言われる日本の住宅ストックを、熱性能ごとの構成比率で分類して示しています。省エネ法が施行される前は、ほぼ全ての住宅が無断熱であったと考えられます。また、現代では長寿社会の進展に伴ってこれらの住宅の断熱改修による住環境の改善が喫緊の課題となっています。省エネ基準は改定を重ねるごとに性能水準が強化されていますので、昭和55年基準と比較すると現行の平成11年基準の方が冬暖かく、夏涼しい家であると言えます。しかし、昭和55年基準は外界気候との明確な区分を可能にするとともに、「熱的な室内」という概念を生じさせたという意味で、他の改定基準とは異なるマイルストーンとしての価値があると考えられます。
 
地域ごとに断熱性能が異なる理由は?
 
省エネ法では地域の気候区分に応じて断熱性能の下限値が定められています。それでは性能基準を策定するにあたり考慮された合理的な判断尺度とは、一体なんだったのでしょうか?
 
下図は2013(平成25)年10月に施行された、いわゆる新省エネ基準の気候区分をもとに、外気温と居住者の体感温度の関係を予測して示しています。冬の室内着を着て椅座安静状態にある人が温冷感的に中立(暖かくも寒くもない状態)となる室内の作用温度は、気候区分に関係なく22℃であると考えられます。ただし室内に微弱な気流が生じていないことが条件となりますので、エアコンなど強制対流型の暖房機を使用する場合には設定温度が2から3℃程度高くする必要があることに注意してください。
 
ここでいう体感温度とは室内の空気温度と、壁の表面温度の加重平均値のことですから、断熱性能が弱い住宅では外気温の低下に伴って壁の温度が下がりますので、それにつれて体感温度が低下していくことになります。
 
例えば、省エネ基準に適合した北海道の住宅では、部屋の中にいると外気温が−8℃になるまで寒くなってきたと感じることはない、ということを意味します。同様に南東北から北関東にかかる4地域では、外気温の低下により寒さを生起させる外気温は3℃となり、これらの温度は各地域の暖房に関する設計外気温に概ね一致していることがわかります。
 

 
省エネ基準は省資源よりも、快適・健康なくらしが目的です。
 
省エネ基準はその名の由来通り、石油ショックを契機とした省資源を目的とする建築の熱性能規制を意味していると考えられます。しかしその基準策定の過程において居住者の快適性に関する知見が法的整合性の基盤として考慮されたという事実が、以上の考察からも明らかでしょう。
 
これまでも「高断熱・高気密」の第一義的な目的はエネルギー消費量の抑制ではなく、居住者の快適な生活と健康の確保であることを繰り返し述べてきました。またこれから期待される「居住者のウェルネス向上」を目途とした新たな環境デザイン手法の構築には躯体の熱性能改善が必要となります。そして環境性能のベースとなっているのも、省エネルギー基準なのです。
 
これからも住宅の高性能化に向けた研究開発が継続され、これらに適応した省エネ基準の改定が行われていくことになると思います。しかし、省エネ・省資源は健康住宅の結果としてもたらされる便益に過ぎない、ということを技術者は肝に命じておく必要があるでしょう。
 
省エネの先にある居住者の幸福を最大化することのできる住宅とは?
 
卵が先か?それとも、鶏が先か?
 
健康で快適な生活を担保できる住空間の提供を確保すると、結果として省エネルギー・省資源にも資することになる。住空間創造の根底には健康維持という目的が脈々と継承され、高性能化の歩みへと帰納されていくのです。
 

 
 
室内気候研究所 主席研究員
工学博士 石戸谷 裕二
■公式 HP: http://iwall.jp
■ブログ:http://blog.iwall.jp

Lesson 26 エネルギーについて考えてみよう。 その3

「環境ビジネス」を支える地球温暖化の「CO2主犯説」。

1997年12月に京都市の国立京都国際会館で開かれた第3回気候変動枠組条約 締約国会議(地球温暖化防止京都会議:COP3)でいわゆる京都議定書採択さ れてから、CO2の排出量削減を目標とした環境ビジネスが勃興し、隆盛を極め るようになってきました。
 

 
地球温暖化に起因した気候変動のCO2濃度主犯説は、科学的な異論が絶えない にもかかわらず、経済合理主義と強く結びつき環境ビジネスの理論的基盤となっ ています。これが次世代の人々の足かせにもなりかねないとの批判も根強くあ るのは、世論の妥当なバランス感覚であろうとか思います。地球環境を守り、 平和な世界を実現しようとする理念に異を唱える人はいないと思います。一方 で、単なる学説を真理であるかのように喧伝し、利用しようとする環境ビジネスの行き過ぎた進展は、地球の持続可能性を却って損なう可能性があります。 現状のようにCO2排出削減という一つの目標が、全ての経済活動の判断基準と して取り扱われることを大変危惧しているところです。
 
木質バイオマス発電は日本の森林を救えるか?

2017年10月6日の読売新聞朝刊に『バイオマス発電 商社進出 ~「有望な 市場」計画相次ぐ』という記事が掲載されました。どうして商社はバイオマス 発電に進出しようとしているのでしょうか? 化石燃料の輸入はこれまでの事 業の大きな柱ですから代替エネルギー事業に転換しようとする商社の真意がど こにあるのか、素朴な疑問を持たざるを得ませんでした。
 
「ゼロエミッション」という名の「環境ビジネス」。

政府は木質バイオマスを化石系燃料に代替させることによって、 地球温暖化ガ スの一つであるCO2の増加を抑制できると考え、地球温暖化防止対策の有効な 手段の一つとして推進してきました。また福島での原発事故を受けて、政府は 2030年度時点で再生可能エネルギーの割合を22~24%程度まで引き上げると いう目標を掲げています。( http://www.enecho.meti.go.jp/category/ saving_and_new/policy/biomass_energy/ )
 
木質バイオマスは燃焼させて熱エネルギーを利用しても、「適正な植林と森林 保全が担保されれば」CO2ゼロエミッションであると言えます。植物の成長過 程で空気中のCO2を固定してくれるので、大気中のCO2量は増加しないと考え られるからです。さらに、バイオマス発電と電気自動車を組み合わせると「ゼ ロエミッション・カー」が実現できると考える人もいるくらいです。もちろん 前提条件が満足されればの話ですが、木質チップの輸出国の森林は本当に破壊 されていないのか、科学的な検証が必要と考えます。
 
バイオマス発電の燃料はほぼ全量が輸入されている。

バイオマス発電の燃料は木質チップですが、現状ではほぼ全量を輸入に頼って おり、読売新聞によれば商社各社は今後大幅に木質チップの輸入量を増加させ る計画を発表しています。木質チップ輸出国の森林が野放途な開発で侵食され ていけば、地球規模での自然破壊が進む可能性も指摘されています。
 

 
一方で日本の山林は荒廃が進み、CO2の吸収力を急速に失いつつあります。急 峻な地形や搬送用の林道が未整備であること、森林事業に従事する人材が不足 していることなど諸課題はあるものの、バイオマス資源として間伐材などの価 値を見いだすことができれば、豊かな森林や里山復活への道筋も見えてくるの ではないでしょうか。バイオマス発電の普及が日本の森林の再興の端緒となる ことを強く期待したいところです。
 
バイオマス発電が稼動すれば年間1兆円が電気料金に上乗せされる。

バイオマス発電によって発生させた電力は、国の固定価格買取制度(FIT制度) によって一般の電力より高く買い入れることを電力会社に義務付けています。 さらに電力会社は賦課金として利用者からその差額を徴収しており、実質的に は再生エネルギーの買取費用は国民負担となっているのです。いわゆる「見え ない電気料金」として不評を買っている制度です。
 
買取価格引き下げ前の駆け込み申請分を含めた700万 [kW]の発電所が今後稼 動すれば、年間約1兆円以上が毎年電気料金に上乗せされるとの試算もありま す。日本の森林復活にこの賦課金の一部を使用して欲しい、と考えるのは私一 人だけではないと思います。
 
今年九州を襲った集中豪雨の二次被害の原因は保水能力を失った森林と、根が 張っていない樹木の流出が引き起こしたとも言われています。縦割り行政を是 正し国民の十分な理解を得ながら、林野庁など関係機関とも連携したエネルギー 政策の推進が引き続き望まれるところです。
 

 
環境ビジネスの利権を守るために補助金として税が投入され、受益者負担と称 してコスト負担を国民に強いる。環境行政のあり方はもちろん、我々ユーザー の意識改革も喫緊の課題と言えそうです。
 

室内気候研究所 主席研究員
工学博士 石戸谷 裕二
■公式 HP: http://iwall.jp
■ブログ:http://blog.iwall.jp

Lesson 25 エネルギーについて考えてみよう。 その2

美しい深緑の森林、どこまでも透き通ったオーシャンブルー。太陽の恵みと清浄な無尽蔵の水に育まれ、生命が横溢する私達の地球。人工衛星から送られてくる地球の画像は神秘に彩られ、深淵な生態系を支え続ける地球の絶対的な威厳を示しているかのようです。そこでは人間の活動は矮小化され、存在の痕跡を確信することもできません。地球の前では人間も無辜の乳飲み子のように、あまりにも無力で曖昧な存在に過ぎないことを改めて思い知らされます。
 
太陽からは使えきれないほどのエネルギーが到達しているが・・・。
 
豊かな実りを神に感謝する秋の神事は、宗教を問わず世界中のいたるところに 広く見られるようです。降雨、降雪、潮流、雷、嵐、そして収穫と四季の風景。 地球の自然現象の多くは太陽から放散され地上に到達した太陽エネルギーに起 因するものです。植物が光合成によって光エネルギーを変換し、それを動物た ちが食べる。動物を食べる動物もあり、太陽エネルギーは環境の中で常に循環 していく。人間は太陽を食べて生きている、と言っても過言ではありません。
 
太陽から降り注ぎ地上に到達するエネルギーは平均で 85,000 [TW]にも上りま す。人類が使用するエネルギー量は 15 [TW]程度ですから、太陽エネルギーに 比較すると微々たるものに過ぎません。しかし太陽エネルギーの利用技術は未 だ発展段階にあり、量子収率では植物の光合成に敵わないのが現実です。
ここでは絶え間なく降り注ぐ太陽エネルギー利用の将来像を考える前に、エネ ルギーに関する基本的な事項を押させておくことにしましょう。
 
太陽からは使えきれないほどのエネルギーが到達しているが・・・。
 
エネルギー利用にかかわる3つの原則についてもう一度考えてみましょう。
 
1 エネルギーは使うとなくなる。
 
エネルギー保存の法則によると閉じられた系では、任意の時刻におけるエネル ギー総量の時間変化率はゼロであると考えられますので、エネルギーがなくな ることはありません。私たちにとって都合の良い法則なのですが、実際のエネ ルギー利用の経験則とはかなり異なっています。
 
 
例えば自動車に乗って旅行をすると明らかにガソリンの量は減りますし、移動 距離は限定的でしかありません。内燃機関を使って動力を得るために使用した
燃料は熱エネルギーに変換され大気中へと放散されるので、二度と自動車を動 かすことはできないからです。エネルギーは「使うとなくなる」のです。
 
1972年にMITのメドウズ教授がまとめた「成長の限界」は当時の社会に大きな インパクトを与えました。人口の爆発的増加、環境汚染、エネルギー資源の枯 渇によって社会の成長は100年で限界に達し、人類の持続可能性が著しく毀損 されるという理論は、人類に省エネルギーの必要性を問いかける端緒となりま した。現在では一部が否定されているこの理論ですが放蕩で傲慢なエネルギー 消費を転換して、抑制的に利用していこうと意識させる効果は絶大であったと 言えるかもしれません。
 
 
しかし不快さを「我慢」をしてまで省エネルギーを実行しようとすると健康を 害して死に至ることもあるのですから、省エネルギー行動によっても人類の持 続可能性が損なわれる可能性がある、ということを忘れてはいけません。「感 謝の心を持ちながら、必要十分なだけエネルギーを利用させていただく」とい う日本の伝統的な思考法がこの背反を律する助けになるように思います。
 

 
偏在する富は憎悪を生起させ、格差は拡大し続けています。地球規模でのエネルギーや富の再配分は、平和な暮らしにとって不可欠であることは言うまでもありません。石油に換算した一次エネルギー消費量の推移は地域経済の発展とともに変遷を遂げ私達に新たな課題を投げかけてきます。エネルギー消費の抑制を単なる無駄遣いの防止という観点で論じるのではなく、消費のあり方の向こうにある人類の持続可能性という視点で再考してみる必要がありそうです。
 
2 使える量には限りがある
 
地球上に埋蔵されている石油や石炭、ガスなどの化石エネルギー資源の量はも ちろん有限ですから、使える量には限りがあります。この有限なエネルギーを 消費し続けると資源が枯渇するので、太陽光、風力、潮流など、ほぼ無尽蔵に存在する再生可能エネルギーの利用に転換すべきだとの主張があります。これに依拠して太陽光電池や風力発電装置など機械装置の優位性が広く浸透し、製 品が普及する原因にもなっています。税金による普及促進も盛んに行われてい るのですが、本当にこれらの税金投入には合理性があるのか議論が必要です。
 
それではエネルギー資源は実際に枯渇するのでしょうか?環境から炭素を取り 込むことができるようになった生物は39億年前に地球上に誕生した、という最 新の研究成果が著名な科学雑誌ネイチャーに公表されました。またエネルギー の埋蔵量は使用量の数千年分にも達するとの報告もあり、エネルギー枯渇説の 裏側にある現実を再考しなくてなならない時に来ているように思います。
 
それではどうしてエネルギーは「使える量に限りがある」のでしょうか?1956 年に米国の地質学者ハバートが米国石油学会で発表した「ピークオイル理論」 を模式的に示したのが上図です。エネルギーの需要が高まると価格は上昇しま すが、新たな埋蔵の発見がなく採掘技術にも進歩がないとすると、エネルギー の生産量に極限値としてのピークが出現する、というのがこの理論の趣旨です。 実際にピークオイルは2005年に出現したと言われています。
 
一方で従来は採掘が不可能であると考えられていたシェールオイルなどの採掘 技術が高度に進歩してコンパラブルな価格になると、化石エネルギーの生産量 は需要を大きく上回るようになりました。日本近海の海底に大量に埋蔵されて いるメタンハイドレードの採取技術も、経済的合理性を持って可能になると考 えられます。化石エネルギー資源は本当に枯渇するのでしょうか?
 
3 使うとゴミが出る。
 
最後にエネルギー利用で最も深刻だと考えられるのが、このゴミ排出問題です。 気候変動に関する政府間協議でも度々レポートが発出されているように、地球 規模での気候変動や異常気象は地球温暖化物質の排出量の増加に起因している という仮説が注目されています。とりわけ二酸化炭素濃度の上昇は化石燃料の 消費によって引き起こされると言われているため温暖化の主犯格として槍玉に 上がっているところです。もちろんこの仮説にも科学的な異論はあるのです。
 
 
地球誕生以降、地球上にある炭素量はほぼ一定であると考えられますから、同 化によって蓄えられた炭素が消費によって大気中に放散されるのは至極当然で す。ただ地球規模での気候変動の主因が二酸化炭素であるという仮説はいささか乱暴すぎる議論ではないかと思います。また、家畜の飼育によって排出され た糞尿が原因で放散されたメタンガス量が話題にならないのは、この議論に何 か不都合なことがあるからではないでしょうか。温暖化は寒冷化よりも適応し やすく人為的に抑え込めない気候変動の中では好都合という考え方もあります。
 
エネルギー革命が起きるまでの対応を、今から考えよう。
 
太陽光発電に代わる日射利用の方法として人工光合成の研究が急速に進展して います。また、藻類バイオマスは安価で大量のエネルギーをゼロエミッション で利用できる可能性を秘めている技術で、資源小国日本でも次世代型エネルギー 革命を担う主役候補として期待が集まっています。エネルギー技術は必ず革命 的に進歩します。それまでの時間にしっかりとした科学的検証が必要です。
 
毎月届く電気料金の請求書には見えないほどの小さな字で「再エネ発電賦課金」 という項目が記載されています。悪名高き消費税よりも高額ですが、ほとんど の人は気付かずに支払っているのではないでしょうか?私は発電事業者でもあ りませんし、再生エネ発電を誰かに依頼したこともありません
 

 
エネルギー研究の成果は科学的なエビデンスの蓄積の上に成立しているのです が、悲しいことに研究成果が科学者の手を離れた瞬間から論拠が変容してしま う事例が少なくありません。ほんの一握りのエネルギー利権者や事業者、資源 保有国の利益のために研究成果を都合よく利用していたのでは、人類を危機に 晒すだけです。エネルギー問題の主体は、あくまでも利用者なのです。
 
ICTで拡散されるエネルギー関連の膨大な情報を批判力無しに受け入れるので はなく、エネルギーの利用について一人一人が判断する必要に迫られています。 決断するまでに残された時間は、あまり多くはないのですから。
 
 

室内気候研究所 主席研究員
工学博士  石戸谷 裕二
■公式 HP:  http://iwall.jp
■ブログ:http://blog.iwall.jp

Lesson 24 エネルギーについて考えてみよう。その1

大量のエネルギー使用を前提とした現代社会は持続可能なのか?

美しい深緑の森林、どこまでも透き通ったオーシャンブルー。太陽の恵みと清浄な無尽蔵の水に育まれ、生命が横溢する私達の地球。人工衛星から送られてくる地球の画像は神秘に彩られ、深淵な生態系を支え続ける地球の絶対的な威厳を示しているかのようです。そこでは人間の活動は矮小化され、存在の痕跡を確信することもできません。地球の前では人間も無辜の乳飲み子のように、あまりにも無力で曖昧な存在に過ぎないことを改めて思い知らされます。
 

 
一方、夜の衛星画像はどうでしょう?漆黒の闇には無数の明かりが連鎖して浮かび上がり、人間の存在を誇示するかのように明滅しています。あくまでも静かな昼の表情とは比べようもないほど、人間の貪欲なまでの消費行動があからさまに顕在化し、我愛がとめどなく表出しているようにさえ見えます。

しかもエネルギー消費の証でもある灯りの密度は地域の人口に比例してしているわけではなく、経済活動の大小によって著しく偏在していることがわかります。北米の東岸、欧州地域、中東湾岸地域、南アジア、中国沿岸部そして日本。工業化が進み富が蓄積された地域では昼夜途切れることなく膨大な量のエネルギーが消費され、その背景では漆黒の宵闇が明けていくのを待ちわびる夥しい数の人々の暮らしがあることを忘れるわけにはいきません。
 

 
偏在する富は憎悪を生起させ、格差は拡大し続けています。地球規模でのエネルギーや富の再配分は、平和な暮らしにとって不可欠であることは言うまでもありません。石油に換算した一次エネルギー消費量の推移は地域経済の発展とともに変遷を遂げ私達に新たな課題を投げかけてきます。エネルギー消費の抑制を単なる無駄遣いの防止という観点で論じるのではなく、消費のあり方の向こうにある人類の持続可能性という視点で再考してみる必要がありそうです。
 

 
下図は世界の一人当たりのエネルギー消費量を示しています。全人類の平均消費量は2,000 [W]程度であると言われていますが、貧困や紛争、食糧危機に悩まされている地域では平均をはるかに下回ります。例えばバングラディシュの消費量は平均値の10分の1にしか過ぎません。他方、豊富な資源に恵まれ経済的な発展が進むアメリカでは平均値の5倍、資源小国でありながら工業化が進むスイスや日本では平均の2.5倍ものエネルギーを消費している現実があります。
 

 
エネルギー消費量が飛躍的に伸長し資源の枯渇が声高に叫ばれていた1970年代以降、資源の採取技術は高度に革新され、再生利用可能な低未利用エネルギーの活用技術もいくつか開発されるようになりました。しかし、地球の持続可能性に関わるカギを握るのは自分が使用できる量を潤沢に確保することではなく、少ないエネルギーで豊かに暮らすというライフスタイルの価値と、他者とも豊かさを分かち合おうとする理念に尽きるのではないでしょうか。個の持続可能性を高めようとする本能と、人類全体としての持続可能性を高めるという理性の背反を解決できるか。エネルギー問題の本質はここにあると思います。
 

室内気候研究所 主席研究員
工学博士  石戸谷 裕二
■公式 HP:  http://iwall.jp
■ブログ:http://blog.iwall.jp

Lesson 23 照明と良い睡眠、そして健康の関係は?

質の高い睡眠と健康には高い相関関係が!

質の高い睡眠の量と健康との関係が、最近注目されているようです。体内時計 を正確に維持することが健康生活の要諦であることは以前にも説明しましたが、 ここでは照明と睡眠の質、そして健康との関係を考えてみることにします。

人間の新陳代謝が夜間に活性化するわけは?

昼間の太陽光に含まれる紫外線は化学線とも呼ばれ、生物を構成している高分 子の化学的構造をも変化させるほどの強度と機能性を持っています。お布団を 天日干しにすると細菌やダニまでもが死滅してしまうほどの威力です。
その紫外線から細胞内の DNA を保護しつつ傷ついた細胞の修復や再生を安全 に行うため、私たちの体中では夜の間に新陳代謝が行われています。生体内で の化学反応を制御する酵素や免疫細胞の生産・修復も、睡眠中に活性化すると 言われています。子どもの発達に欠かすことのできないヒト成長ホルモンは夜 間の睡眠中にのみ分泌されるのと同様です。古来、寝る子は育つのです。
 

 
睡眠は昼間の活動で疲労した脳と肉体を休めるばかりでなく、生体の持続可能 性を高め、物質として新しい自分へと生まれ変わるために不可欠な時間なので す。特に午後 10 時から午前 2 時までの時間帯にどれだけ良質な睡眠が得られる かはガン細胞の増殖を抑え、風邪をひきにくい体を維持するためのカギです。

メラトニンの分泌停止には、朝の陽光と寒気浴が効果的。

睡眠と覚醒を司っているホルモン、それはメラトニンです。前述のようにメラ トニンの分泌にも体内時計(サーカディアンリズム)が関与しています。
質の良い睡眠を十分に取った朝には爽快で気持ちの良い目覚めが待っています。 十分な休養を取り免疫細胞の活性化した状態でメラトニンの分泌を停止させま しょう。スムースな覚醒を引き起こして活動的な状態を生起させるには、朝陽 と新鮮な空気をたっぷりと吸う寒気浴が効果的です。約 1,500 [lx]程度の朝陽を 浴びると脳は再び活性化の準備を始めます。特に幼児期にはサーカディアンリ ズムの発達が不十分ですから、この習慣を乳児期から身につけておくことが健 康と成長の秘訣になります。起床後いつまでも新陳代謝を引きずることは、遺 伝子の損傷を促進し免疫の不活性化の要因ともなりますので注意しましょう。
 

 
学習や就業には、色温度が高めの白色照明が向いている。

学習効果や仕事の効率を高めるためには、比較的色温度が高めの白色光が好適 です。太古から人間は自然光の中で狩猟や採取などの活動をしてきましたので、 自然光に近い白色光は緊張や集中力を高める効果があるのです。逆に言えば、 白色光で深夜まで残業を繰り返すと緊張している時間が著しく超過して睡眠負 債とストレスを招き、新陳代謝という睡眠の重要な役割を阻害してしまいます。

メラトニン分泌のスケジュールに合わせた環境調整が必要。

メラトニンが分泌し始めるのは午後10頃ですから、これまでに睡眠の準備が整 っている必要があります。また睡眠の導入には人間の深部体温(コア体温)が 低下傾向にあることも欠かせません。就寝前にぬるめの湯に浸かり深部体温を 十分にあげておくと、スムースに深い睡眠へと移行することができます。

 

 
また就寝までの時間帯には色温度が比較的低めの暖色系照明が効果的です。仕 事を終えてから徐々に照明を暖色に調色して光量を抑え、自分が休息に向かっ ているというシグナルを脳に与えることで、睡眠導入への効果は一層高まりま す。終業時間の間際には光量を抑えた暖色に事務所を調光し、夕食や団欒のひ
と時にも家庭内の調光色を継続してください。永く照明の主役だった蛍光灯の 光は色温度が高く仕事には向いているものの休息には不向きだったため、最近 の住宅では調光・調色可能な LED 照明への置き換えが進んでいます。また、欧 州ではキャンドルや暖炉の灯りなど、自然な照明が文化として定着しています。
 

 
人間の生活習慣は数百万年もの間、自然のリズムとりわけ太陽の運行を基調と して定着してきました。そのリズムに適応できなかった種は残念ながら自然に 淘汰され、我々の祖先だけが生き残ったと考えることもできそうです。

1 日の始まりと終わりを知らせる朝陽や夕日の茜色。日中の太陽の眩いばかりの 光量と夕暮れ時のぼんやりとした薄暗さ。自然に習い、自然に生きる。人間の 健康とはそんな生活の中で育まれていくのではないでしょうか?

室内での活動が長時間化し、さらに高度化している現代人にとって照明の選択 と調節はますます重要性が増してきています。

 

 
室内気候研究所 主席研究員
工学博士  石戸谷 裕二
■公式 HP:  http://iwall.jp
■ブログ:http://blog.iwall.jp

Lesson 22 「メカハウス」は資産価値が劣化しやすい。

利便性向上の陰で、どんどん増えていく家電と住宅設備。

製品供給力が脆弱だった時代には自家用車やカラーテレビ、エアコンなどの耐 久消費財が所有者のステータスシンボルとして取りざたされることもありまし た。いわゆる新三種の神器です。物が溢れる現代では家電製品や設備機器が、 快適で便利な暮らしにとって、なくてはならないものになっています。
 

 
冬家電の主役はヒートポンプエアコンや電気ストーブ、電気こたつですが、「暖 房」を冠する家電品には、暖房カーペット、暖房便座、果ては暖房スリッパな どもあり、秋の家電量販店の棚には様々な新商品が並びます。「空間全体から 寒さを排除する」という「暖房」本来の意味からはいささか逸脱した商品が、 今でも販売されているようです。裏を返せば、それだけ住宅の「寒さ」に対す る建築的な対策の不備が浮き彫りになってくる、と考えることもできそうです。

設備選びで、効率や対費用効果の他に考えるべき点は?

家電製品にせよ住宅設備にせよ、本質的にはエネルギーを変換して所要の仕事 をしてくれる機械ですから、自ずと摩耗や故障はつきものです。発売当初に発
生しがちな設計などの不備によって生じる初期故障は避けて通れません。巨額 な開発費を投じて発表された航空機や自動車であれ、初期故障から逃れること はできませんし、新商品のリコールが話題になることもしばしばあります。ま た、使用期間に関係なく発生する偶発故障に加えて、長期間の使用によって生 じる磨耗・劣化故障を加味すると、設備の購入から廃棄までに生じる故障の確 率は図に示すような形状をしており、一般にバスタブ曲線とも呼ばれています。
 

 
設備を長期間効率よく、しかも故障をさせずに使用するためには定期的なメン テナンスが不可欠です。日本で発達している車検制度はこのバスタブ曲線を平 準化するための優れたシステムであると考えられます。設備を使うということ は、メンテナンスにかかる費用を予め計上しておくことが必要だということで す。また寿命がきた設備は交換しなければならないことも忘れてはいけません。

オプションを追加すると便利になる自動車と、住宅の違いは?

自動車選びでは予算に合わせてオプションを追加していくと、さらに便利で高 級な使用感になることは誰しも経験するところです。それでは住宅はどうでし ょうか?ネット上でも氾濫している住宅設備を礼賛するような広告。住宅の本 質である断熱や耐震性能を蔑ろにしても、高価な設備を追加することで実現す る快適な暮らしとは?著名な建築家ミース・ファン・デル・ローエが我々に残 してくれた言葉
”Less is more.”
が考えるヒントになるかもしれません。
故障率 Failure Rate
簡素でシンプルなデザインは、人々を豊かにしてくれる。これ以上削ぎ落とす ことができない究極のデザインこそが、物質では満たされない至福の喜びを居 住者に与えてくれる、とでも解釈すれば良いのでしょうか。今本当に必要不可 欠な設備は何か?何が不要な設備なのかを十分に理解することが必要でしょう。

「メカハウス」はなぜ資産価値が劣化しやすいのでしょうか。

あなたにとって最低限必要な設備とは何ですか?PV や蓄電池は本当に幸せな 未来を約束してくれるのでしょうか?高額な機器をふんだんに設置した住宅を、 若干の皮肉を込めて「メカハウス」と呼ぶことにしましょう。対比されるのは 建築的手法を主体にして設備に頼らないことを旨とするパッシブハウスです。
住宅建設の予算は、多くの場合で限りがありますので、設備機器に多くの予算 を回すと建築本体にかけられる予算は相対的に少なくなります。ですから、建 築本体の予算を十分に確保したパッシブハウスに比べると、メカハウスの建築 劣化のスピードは格段に上昇してしまいます。
また、設備の寿命はおおよそ 10 年程度ですから、建築本体の寿命 60 年に比較 すると非常に短いので、住宅ローンを支払い中の期間にも設備更新の時期がや ってきます。しかも設備の量が多ければ多いほど、更新にかかる費用も多大に なるということです。もしも更新をせずに放置すると、住宅自体の資産価値も 劣化してしまうことになります。

 

 
一方、建築本体に関わる規制や基準は年々強化される傾向にあります。建築本 体の断熱や耐震性能を低くしてしまうと将来的に基準不適合な住宅となります から、この意味においても資産価値の劣化は生じるのです。

必要不可欠なものが理解できれば、美しい健康生活が生まれる。

欧米の住宅の資産価値は購入時よりも居住年数が長くなるほど高くなる、とい う事実はよく知られているところです。自分の住宅に愛着を抱き、年々手を加 えてより快適な環境を自ら見出し、創り出す努力を常に惜しまない。人間の健康を考えるとき、ややもすると肉体的健康に目が向きがちですが、精 神的な満足感や幸福感は健康にとって不可欠でしょう。欧米の住宅の価値が居 住者の幸福感の積み重ねに比例していると考えれば、資産価値にまつわる事象 をよく理解できるのではないでしょうか。竣工時の一瞬が、住宅にとって最高 に美しい時ではないことを、心から祈るばかりです。
 

<この人には、本当に PV が必要なのか?>

 
  

室内気候研究所 主席研究員
工学博士  石戸谷 裕二
■公式 HP:  http://iwall.jp
■ブログ:http://blog.iwall.jp

Lesson 21 空気の質に無頓着すぎませんか?

人間は閉鎖系ですか?それとも開放系ですか?

これまで換気の大切さと、その意味を環境や設備からの視点で考えてきました。
ここでは、人間の視点に立って換気を再考してみることにしましょう。

人間、特に日本人は家族や仲間、会社組織などの閉鎖的な小集団に帰属し、個 性を押し殺して他を忖度しながら生活することが得意な人種であると言われて います。自分の名前よりは苗字が最初にやってきますし、意見が対立しそうな 話題は避け「和をもって尊し」とする価値観を大切にしてきました。外国人か らするとどうしても理解できない閉鎖系の住民、それが日本人のようです。

一方で熱力学の第二法則を持ち出すまでもなく、人間は外界との間で物質とエ ネルギーを交換せずには生きてはいけないのですから、開放的な系であると考 えることができそうです。物質交換の中で最も重要なもの、それは「食物・水・ 空気」であり、いずれが欠けていても永続的に存在することはできません。も ちろん、取り込む物質の質が健康に影響を与えることはいうまでもありません。
 

 
物質交換量で最も多いのは空気です!

一般的な成人が 1 日に摂取する食料は約 1 [kg]であると言われています。幸い にも現代日本人は食料を大量に生産し、計画的に貯蔵しておくことが可能です から、毎日の食料をその日のうちに集める労苦から解放されています。他の動 物が一生の多くの時間を食料調達に当てなくてはいけないことを考えれば、人 間は本当に豊かな人生を送ることができているわけです。健康のために無農薬 野菜や有機食物を選択的にとっている方やサプリの利用者も少なくありません。

また水は約2 [kg]。大きめのペットボトル1本分の水分を毎日摂取しています。 近年ではボトル入りのミネラルウォーターは生活にすっかり根付いていますが、 潤沢な水資源に恵まれた日本では、遠隔地まで出かけて良質な湧き水を分けて いただき、お茶やコーヒー、炊飯に利用されている方も多いと思います。

しかし意外と意識されていない必須物質、それは空気です。1 日の摂取量は約 20 [kg]と圧倒的に多く、人間はご飯約 100 杯分もの空気を毎日取り込んで暮ら しています。食料や水に比較すると目に見えないというハンディキャップがあ るせいでしょうか、新鮮で澄んだ空気の大切さは意識下に沈んだままになって いるようです。でも、空気質が疾病を引き起こしてからでは手遅れです。

20 [kg]もの空気の品質管理を機械任せにして良いのか?

日本でも公害問題が深刻だった 1960 年代から 70 年代には空気に含まれる有害 物質が社会問題となり、四日市ぜんそくなど被害が毎日のように報道されてい た時代もありました。近年では花粉症患者の増加、黄砂被害、隣国中国での PM2.5 問題などが俎上に登る機会以外は、空気質は換気扇と空気清浄機に任せ っぱなしのようです。適正な使用方法とメンテナンスが必要な機械に大切な空 気質の管理を無邪気に委ねていても良いのでしょうか?疑問が残るところです。

ハイキングや登山の楽しみの一つに、新鮮な空気を胸いっぱいに吸い込み開放 感に満たされることがあります。澄み切った空気と水、清浄な自然が人間にと って一層大切であることを実感させてくれるひと時でもあります。

ご承知のように、新建材などから放散される揮発性有機物(Volatile Organic Compounds)が原因とみられる「シックハウス症候群」の対策として住宅内部 の VOC 濃度は厳しく規制されています。しかし微量ではあれ建材や家具、日用 品から放散される化学物質が室内からなくなるわけではなく、健康被害のリス クは依然としてゼロではありません。外気の導入によって有害物質の濃度を希 釈することはできても、希釈換気で VOC を取り除くことはほぼ不可能です。

空気中の VOC や生活臭、ペット臭を取り除いてくれる建材もある!

下図は空気清浄機能のある建材のガス吸着性能の測定結果です。オレンジ色の 線が空気清浄建材の性能曲線で、基準値 0.08[ppm]を大幅に超過する濃度のホ ルムアルデヒドが約2時間で不検出になるほど低下しているのがわかります。 機械任せ、薬品任せの空気清浄には自ずと限界があります。汚染物質の吸着、 分解作用のある建材を積極的に採用してみるのも有効な手段です。
 

 
  

室内気候研究所 主席研究員
工学博士  石戸谷 裕二
■公式 HP:  http://iwall.jp
■ブログ:http://blog.iwall.jp

Lesson 20 「気密」が必要な本当の理由は?

大和朝廷の北侵を阻んだのは、寒冷な気候と住文化の違い。

関東以北から北海道地方には、弥生時代以降も続縄文文化や擦文文化に属する 先住の人々が居住しており、大和朝廷成立後も関東以西とは異なる文化的な発 展を遂げていました。7世紀ごろから隋や朝鮮半島など周辺諸国との国際情勢 の変化により東北地方に対する朝廷勢力の進出が繰り返されたものの、11世紀 以降は先住豪族による統治と朝廷との連携が成立することになります。

では、なぜ北方域は中央政権の直接的支配下とはならなかったのでしょうか? そこには武力的な均衡の他に、寒冷な気候風土への社会的適応能力の低さが原 因としてあげられます。関東以西の蒸暑域では湿潤がもたらす生活への影響を 排除するために、住居には徹底した外部への開放が求められます。「家屋文鏡」 にも見られるように、竪穴式住居などの接地閉鎖系住居から、高床式の非接地 開放系住居への構法の変化が不可欠であったということでしょう。
 

 
北海道に開放型住居を立てて暮らすと、どうなるのでしょう?

明治期の北海道には開拓使が置かれ、屯田兵制度が制定されました。北海道の 開拓と警備を担う人々が屯田兵に志願し移住することになります。彼らの住居 は復元され現在も後世にその姿を伝えていますが、下見板張りの外壁は冬でも 外気の侵入を無防備に促し、囲炉裏の火を生活の中心に据えつつ凍えるような 環境の中で春の到来を待ちわびていた姿は容易に想像することがでそうです。

一方、先住民族であるアイヌの人々の住宅は「チセ」と呼ばれますが、萱や笹 で拭かれた屋根、壁の空気密閉性能は板張りよりもかなり高く、必要換気量は 室内で燃焼させる薪の量に多く依存しています。屋根に積もった雪が解けない 程度に薪を燃やし土間を温めることで、厳寒期でも生存できる環境を創生する ことが可能でした。古より寒冷地に住む賢人たちの暮らしの知恵です。

気密化の技術が、壁体内結露による被害を防止した。

住宅の気密化が叫ばれるようになったのは比較的新しく、断熱強化を推進して いく過程で技術開発が行われました。不幸にも、断熱強化の過程で断熱層内の 結露問題が顕在化し、その対処法として防湿層の施工が推奨されることになり、 結果として気密化が推進されました。住宅の気密性能を測定して建築性能の一 つとして表示するようになったのはごく最近のことです。

 
 

 
「気密」でなければ「計画換気」は実現できない。

しかし、気密化によってもたらされるものは内部結露の防止ばかりではありま せん。低温の隙間風が無秩序に室内に侵入することを抑え、快適性を向上させ ることができます。窓建具の目張りや隙間予防テープは不要となりました。

さらに重要なことは気密化で換気を計画的に実施することが可能になるという 視点です。どこから、どの程度の新鮮空気を室内に導入し、汚染された空気を どこから排出するのか。計画換気は室内の空気質を維持し健康で衛生的な環境 をつくるばかりでなく、温熱的な快適性を高めることに大きく貢献しています。 計画換気は隙間だらけの住宅では実現することができません。法的に義務付け られている換気の技術的基礎は、気密技術に依拠していると言えるのです。

気密性能が必要な本当の理由は「計画換気」の基礎となる技術だからです。
 

 
  
室内気候研究所 主席研究員
工学博士  石戸谷 裕二
■公式 HP:  http://iwall.jp
■ブログ:http://blog.iwall.jp

Lesson 19 「断熱」が必要な本当の理由は?。

「断熱」の主目的は、エネルギー消費量の抑制なのでしょうか?

熱容量を無視すれば、壁を還流して流出(夏は流入)する熱量は壁の熱抵抗に 反比例しますから、熱抵抗を限りなく大きくすると流出熱量はゼロに近づくこ とになります。結果、冷暖房費を安上がりにすることができるわけです。
建築物の熱抵抗を大きくするには、性能の良い断熱材を、できるだけ厚く施工 する必要があります。でも断熱材を厚くするということは、それだけ床面積が 減ることにもなりますから、断熱材の厚さには自ずと限界がありそうです。
一方で、壁を還流して流れる熱量の計算は電卓さえあれば比較的簡単にできま すから、断熱材を厚くする費用と光熱費の低減量を比較して、対費用効果を数 値化することもできます。この計算が「断熱」の普及にも大きく貢献してきた のですが、「断熱」の本来の意味は光熱費を少なくすることなのでしょうか?
 

無機系断熱材で最高の断熱性能を誇る
「シリカエアロゲル」の外貼り施工風景。
 
不快で、不健康な環境は、表面温度の低さが原因になっている。

新築を検討している人が、最も改善したいと考えている住宅にまつわる問題は 「暑さ」「寒さ」「結露」が圧倒的な割合で上位を占めており、これら室内の 温熱環境に関連した苦情が未だに多いことは以前にも述べたとおりです。それ ではなぜこれらの問題が日本中の住宅に、広く蔓延っているのでしょうか?

それは断熱性能が不足していて、室内の表面温度が低いままに放置されている 住宅が、数え切れないほど存在していることに原因があります。室内の表面温 度は、サーモカメラがないと寒暖計では直接的に計測することができません。 これを簡単に図表から読み取ることができるよう、下図を用意しました。

室内外の温度差が 30°Cにもなる冬の寒い朝、一般的なペアガラス(U=3.0)の 表面温度は室空気温度より 10°Cも低くなることがわかります。これではガラス の表面に「結露」が生じて、カビの発生原因にもなってしまいます。そこで断 熱性能をトリプルガラス(U=1.0)にまで高めてあげると、表面温度の低下は 4.4°Cに抑えられますから、「結露」の危険性を除去することも可能になります。 もちろん体感温度も上がりますから「寒さ」の原因を取除くこともできます。
 

 
温熱環境の質は「断熱」がカギを握っている。

機能を数値化して説明することを、「機能を見える化する」などということが あります。光熱費削減量の計算などはその典型的な例かもしれません。数量化 すると機能の比較が容易になり、効率的に設計が進められる利点もあります。

しかし「断熱」の本来の目的は、室内と外界を熱的に分離して「暑さ」「寒さ」 を室内から除去することにあります。「断熱」で健康・快適な暮らしを創生す ると、生活の「質」を向上させることができるのです。そして住宅の室内環境 の「質」のカギを握るのが「室内表面温度」なのです。「断熱」技術の出発点 は生活の「質」の向上にあることを改めて確認できればと思います。

 
 

 
 
室内気候研究所 主席研究員
工学博士
石戸谷 裕二
■公式 HP: http://iwall.jp
■ブログ:http://blog.iwall.jp

Lesson 18 窓の機能を再考してみよう。

窓の機能を建築学的に、もう一度整理してみることにしましょう。

以前にも述べたように窓は外界と室内環境をつなぐ、情報のフィルターの役割を担っています。窓は必要な外界の情報を、必要なぶんだけ透過して、室内に良質な刺激を与えてくれるのです。壁や床、屋根が外界の変化を遮断して、安心感を醸成するシェルターの役割を担っているのとは好対照です。

建築は「安心シェルター」、窓は自然を楽しむための「刺激フィルター」です。

室内に自然な光の変動を取り込み、朝、夕など相対的な時刻の差異を知らせてくれるのは窓の大切な機能です。発電所の管制室や地下鉄の運転席を想像してみてください。窓のない空間を無窓空間と言いますが、完全に自然と隔絶された環境で終日働いてくれる皆さんのご苦労には、頭が下がる思いです。

 

 
熱や光、音や空気を透過させたり遮断することで、自然の変化を和らげ、健康・快適で能率的な室内気候を作ることは、「窓」の大切な役割です。

人工照明が発達して執務空間から窓までの距離がとても深くなった現代のオフィス。昼間から照明の下で仕事をしている人たちは、昼夜の別なく長時間労働を強いられることも多く、過度なストレスにさらされているのではないでしょうか?明るいうちは精一杯働き、夕方に薄暗くなってきたら休む。窓の機能の見直しは、現代人の働き方を見直すきっかけにもなろうかとも思います。
 
(自然の変化を感じながら、創造的な活動を行う空間)


自然の中で働き、人工環境で休む。

人間に五感を生起させる感覚受容器は、自然界にある危険や脅威を事前に察知 して種の保存をはかるために発達して来たと言われています。科学の発達に伴 って、現代では感覚の退化が心配されるほどに自然界の危険が大幅に縮小され てきました。今後もこの傾向は強まっていくものと思います。

しかし自然環境では感覚を研ぎ澄まし、人工環境下では鎮静するという生物と しての本質が変化することはないでしょう。人工環境下における人間の活動が 高度化し、さらに長時間化している現代では、人間の生理学的な特性と心理学 的な容態に大きな乖離が見られるようです。

またサーカディアンリズムを維持することは、人間にとって健康を維持・増進 するために必要不可欠な条件です。古来より、日中は危険な屋外で採集や狩猟 によって生活の糧を獲得し、夜になったら安全な住処に戻って集団で過ごす。

洞窟遺跡の壁画を見ると、閉鎖された非自然空間は人間に安息を与えることで、 洞窟は祈りと芸術の場へと昇華したのではではないか。安らぎと活動。自然や 危険からの退避。建築が人間にもたらした影響の大きさを、改めて感じます。

一方で「窓」のデザインは建築のファサードを印象付ける大切な要素です。室 内条件からの要求性能と外部のデザインに整合性をもたせた建築は、誰がみて も美しいものです。つまり、窓設計の環境工学的なアプローチは単に熱や光、 空気といった物理的な要求を満たすために設計されると言うより、環境設計が 建築デザインそのものの基礎となっていると言っても過言ではありません。窓 は室内の要求を主張して、形状として外部へと表出しているわけです。

 

(建築の表情は閉鎖と開放のリズミカルな変化に宿ります。)


室内に自然の穏やかな変化をデザインする。
建築の専門家は、窓の設計に託された大切な課題を忘れてはいけません。

 
 
室内気候研究所 主席研究員
工学博士
石戸谷 裕二
■公式 HP: http://iwall.jp
■ブログ:http://blog.iwall.jp

Lesson 17 日射を友として生きる知恵。

生きとし生けるものの活動の原点。全ての生命の母、太陽。

古来より、開口部とりわけ「窓」をどう作るかは建築技術の最大テーマです。高床式住居は日本の木造住宅に見られる梁柱構造の原形ですが、柱と柱の間をいかに埋めるのかが課題で、まどは「間戸」と呼称されてきました。風雨の影響を避け、人間や食物をいかに守るのか?が、「間戸」の主眼点と言えます。

一方で煉瓦や石積みのような組積造では、窓は「window」。風や光の通り道として、窓をいかに大きくできるかが建築技術の課題でした。窓を大きくすることは組積造建築技術者の夢であり、光庭や縦長の窓が一世を風靡した理由です。新古典主義全盛の時代のアメリカで、フランク・ロイド・ライトが日本建築にインスパイアされた理由も、このあたりに原因がありそうです。

一方で18世紀の欧州ではオランジェリーという温室の原形が大流行します。イタリアではルネッサンス期からオレンジやシトラスを通年栽培するために数々の工夫を凝らした温室が盛んに建造され、副次的に人々は冬の日差しを楽しむことができるようになります。そして1851年、ガラス建築はロンドン万博でクリスタル・パレス(水晶宮)として具象化され、人々を魅了していくのです。

ある時は日射を遮断し、ある時は十分に取り込んで暮らしに役立てるのか。

窓の設計の最適化は、建築がこの世に生まれてから絶えず人間に向けられてきた古くて新しい問いです。また、太陽光の強度は季節や時間によっても大きく変化するため、その利用には様々な工夫が必要なことは言うまでもありません。

冬の日射熱利用には熱容量の大きな土壁や漆喰を使って熱を蓄える「蓄熱」技術が用いられてきました。土蔵や蔵座敷の構法としてもよく知られています。この技術を現代風にアレンジしたのが潜熱蓄熱内装左官材。室内に取り込んだ日射を壁や天井に蓄えて、夜間の暖房に利用する手法です(写真1)。
 

 
(写真1)日射熱を「蓄熱」してくれる潜熱蓄熱材を施工した室内
穏やかな室温変動は過剰な空気の乾燥を抑えて健康な環境をつくります
一方、皆さんも夏の暑さを凌ぐため葦簀(よしず)やすだれを利用したことがあるのではないでしょうか?開口部の外側に日射を遮蔽するための部材を設置すると、真夏でも涼しく過ごすことができます。古人の知恵です。

でも、日射熱を遮蔽しようとすると、室内がどうしても暗くなる。これを解決してくれるのが可視光拡散型の日射遮蔽材です(写真2)。和風の障子を思わせるような柔らかな光が室内へを差し込み、眩しさを感じずに夏の光を楽しむことできるわけです。バネ式のロールスクリーン・タイプですから収納やお手入れも簡単です。

女性の社会進出が進む現在社会では、天候の変化に合わせた遮蔽材の移動や保管が難しくなってきています。最新のIoT技術を駆使して、電動式の外付けブラインドをスマホで遠隔操作・監視するシステムも開発されています(写真3)。日々進化している建築技術を利用して、日射と上手にお付き合いしながら健康で快適な室内を作っていきたいものです。



(写真2)耐候性の高い不織布を設置した開口部拡散された可視光が
     部屋の内部へと優しく差し込んできます。


(写真3)最新の電動ブラインド
     スマートハウスとの連携も近い将来可能になるでしょう
 
 
室内気候研究所 主席研究員
工学博士
石戸谷 裕二
■公式 HP: http://iwall.jp
■ブログ:http://blog.iwall.jp

Lesson 16 消えた大屋根と庇。

春には軒先の縁側で、ぽかぽかと日差しを楽しむ。
夏は庇の下や、天井の高い土間玄関で、ひんやりと涼を得る。

伝統的な日本家屋が持つ四季折々の原風景も、進行する住宅地の都市化と敷地面積の狭小化によって、どこか遠い昔のおとぎ話へと変化してしまいました。


<写真 首里城書院の間の縁側>


<写真 シンガポールのハーバー地域にあるビル群>

太陽の恵みと強大な力を常に感じつつ、日射と仲良く暮らしていく住まい。四季の変化に対応した日射の調整は、窓の遮熱性能だけでは実現不可能です。深い庇、葦簀やすだれ、障子や鎧戸が果たしてきた役割を、現代の建築技術はどのような機構に置き換えていけば良いのでしょうか?


<写真 屋内庭園を持つレストランの縁側>

常に変化する住まい手の要求。時事刻々と変化する自然環境。これらをつなぐのは、変化することができる建築以外にないような気がします。伝統的な家屋建築の知恵をもう一度見直しつつ、IoT技術なども活用しながら豊かで健康的な環境を創出していかなくてはならない時代です。

一つの技術で全てを解決するのではなく、使い方などソフトを含めた技術の総合化がこれからの住宅建築を支えていく鍵になりそうです。 


<プレミアムパッシブハウスの建築化外構と庇>


 
 
室内気候研究所 主席研究員
工学博士
石戸谷 裕二
■公式 HP: http://iwall.jp
■ブログ:http://blog.iwall.jp

Lesson 15 断熱材はどこまで厚くすれば良いのか?

壁からの熱損失を少なくすると省エネルギーになるので、断熱材は可能な限り 厚くするべきだ。だから断熱材が厚い方が「良い住宅」 だ。

一見正しく見える議論ですが、不毛とも言えるような「UA 値競争」が際限なく 繰り返されている現状は、健康住宅にとって本当に望ましい姿なのでしょうか。 もちろん断熱材を厚くするためには工事費用もかかりますので、自ずと限界が あります。それでは断熱材はどこまで厚くすれば良いのでしょうか?

理想的な将来像を予測するためには断熱技術の過去に立ち返り、その歴史を見 通すことで理解しようとする「帰納法的な歴史論考」が有用だと思います。

断熱技術が現在ほど発達していなかった 1970 年代以前の住宅。外界と室内と の熱的な境界線「断熱」層がありませんでしたから、室内の温度はほぼ外界と 同程度で推移することになります。外気温が終日零下となるような地域では、 囲炉裏や高温のストーブで暖をとるのが一般的でした。家の中で焚き火です。

ほんの 50 年ほど前の日本では、健康的な室内環境とは程遠い住環境が当たり前 でした。そして、環境弱者である子供たちや高齢者がいつもその犠牲者です。 日本の冬の暮らしを豊かで誇りあるものにしたい。「断熱」技術の先駆者達は、 理想の住環境を求めて技術開発とその普及に邁進することになります。

この普及を後押ししてくれたのが政府の施策です。1979 年(昭和 54 年)。二 次に亘るオイルショックを経験した資源小国日本は、住宅のエネルギー消費に 一定の歯止めをかけるために「省エネルギー法」を制定し消費の適正化を目指 します。ここから「断熱」技術が広く国民に認識されるようになるわけです。

当時の住宅はほぼ全てが伝統的な在来木質構法で建築されていましたので、 105mm の柱の間に断熱材を充填する方法が初めに開発されます。窓の建て具 がサッシュに取って代わられるようになったのも、ちょうどこのころからです。

その後、木質パネル工法が紹介されるとともに、断熱材の厚さをさらに増加さ せるために外貼り工法が開発され現在に至るわけです。壁の熱損失はニュート ンの冷却法則で簡単に説明でき、断熱材を無限大にすると伝熱量はゼロに近づ くことになりますから、これが UA 値競争に拍車をかけることになります。


<壁の厚さが 600mm を超えるドイツの住宅の例>

トップランナーと呼ばれる建築業者が作る住宅では、壁の厚さが 600mm 以上 ということも今では珍しくありません。しかし、建築の構法や材料との整合性 を取ることを前提として「美しく建てる」ことも住宅設計ではとても大切です。

梁・柱構造が持っている軽快で清楚なデザインは、煉瓦や石造りの厚い壁が持 つ陰影や重厚感とは相容れないものです。また、日本の森林で生産される木材 から 600mm の壁を作ることは、持続可能性が低い解決策だとも言えます。

これらを解決するために必要な、新規のコンセプトが求められています。熱環 境性能を定常計算で容易に判断する時代から、「蓄熱性能」「遮熱性能」を含 めた動的な環境評価によって構法の最適化を図る時代への変化が必要です。

「断熱」性能の向上が目指していた健康環境の創出という原点に立ち返り、エ ネルギー消費との整合性にも配慮する姿勢が現在の建築技術者に求められてい るのです。「断熱」だけで全てが解決されると考えるのは、いささか単純すぎ て危険な方向へと住宅を導くことにならないか、危惧されるところです。

「断熱」「蓄熱」「遮熱」技術の融合と非定常状態での総合的理解は、健康的 で経済的に家族の安全・安心を守る新たな指標となろうとしているのです。




 
 
室内気候研究所 主席研究員
工学博士
石戸谷 裕二
■公式 HP: http://iwall.jp
■ブログ:http://blog.iwall.jp

Lesson 14 北緯38°は、北国なのか?

四季折々の変化や風光明媚な景観など、南北に長く広がる日本は、世界的にみても稀有な自然大国です。

しかし豊かな恵みを私たちに与えてくれる自然も、時として猛威となって人間を襲うことがありますから、安全な住処としての建築が不可欠であるということは言うまでもありません。それでは、日本の気候風土にあった住宅とは?そのために必要な建築技術とは一体どういうものなのでしょうか?

建築環境工学の分野では快適で豊かな暮らしを支える室内環境を、音・光・熱・空気・色などの物理法則に則って理解するところから研究を始めます。また、室内環境を整えるためには外界の気候をよく理解することも必要です。

外界気候で一番初めに気になるのは、やはり気温でしょうか。夏の暑さ、冬の寒さがどの程度なのかを把握しておくことは、住まいづくりの基本とも言えます。また、降水量や日照時間、季節風の影響も大切ですね。

しかし、地球上の全ての自然現象は、太陽から地球へと届く放射エネルギーが起源となっていることを忘れてはいけません。つまり、太陽エネルギーの地理的な分布状況と季節変動を把握することは、適切な室内気候を考える上でベースとなる情報です。太陽位置の予測が大切なのですね。

日本では東北・北海道地方を北日本、あるいは北国と呼びますが、その地理的な位置は地球上のどの地域と同等なのでしょうか?日本の地図をヨーロッパやアフリカの地図と重ねて見たのが下図です。

仙台市が位置する北緯38度付近はヨーロッパで言えばポルトガルのリスボンと同緯度と言うことがわかります。札幌もローマとミラノのほぼ中間であり、ドイツやスイス、北欧の諸国からみればとても南方に位置しています。つまり日本の北国の建築も日射の影響を強く考慮しながら住宅の環境づくりを考えていかなくてはいけないことは明らかです。

北日本、とりわけ冬の寒さが厳しい北海道の住宅を考えるとき、よく北欧やドイツの建築基準が参考として取り上げられます。しかし冬の日射熱取得がほとんど期待できない高緯度の地域では、外部への熱移動をいかに抑制するかに建築的配慮の主眼が置かれており、冬季の日射熱取得に関する配慮はほとんどされない、と言うことを忘れてはいけません。

日本で住宅を考えるときには季節に合わせた日射利用の最適化が不可欠であり、「断熱」に加えて「蓄熱」や「遮熱」の技術開発がとても大切になります。



 
 
室内気候研究所 主席研究員
工学博士
石戸谷 裕二
■公式 HP: http://iwall.jp
■ブログ:http://blog.iwall.jp

Lesson 13 暖房と冷房、エネルギーを消費するのはどっち?

「家の作りやうは、夏をむねとすべし。冬は、いかなる所にも住まる。」

よく知られた吉田兼好の「徒然草」の一節は、住宅の環境創生に建築技術をど う落とし込むべきかに、多くの示唆を与えてくれます。開放系と閉鎖系の何が 日本の風土に適合しているのか、といった議論も過去には話題にも。

エアコンのなかった時代、盛夏の京都の蒸し暑さはよほど耐え難いものだった のかもしれません。さらに衣服の様式も現代とは大きく異なり、正装をしなく てはいけないような場合には、蒸し暑さを恨めしく思ったことでしょう。

高効率の冷・暖房用エアコンを容易に入手できる現代では、どのような建築を 旨とすれば良いのでしょうか?

この問いには一世帯あたりの冷・暖房エネルギーの使用量に関する研究結果が、 一つの方向性を与えてくれます。下図からもわかるように、那覇市以外の全て の県庁所在地で暖房エネルギー消費量は冷房を大きく上回り、住宅の空調エネ ルギー消費に占める暖房の割合は 80%を超過しています。

つまり省エネルギーのために「出るを制する」と考えれば、暖房消費量をいか に抑制するかが鍵になるということです。壁や窓の断熱性能を高め隙間風の侵 入をいかに抑制していくのか。「断熱」と「気密」が重要になるわけです。

しかし、これだけでは快適性と省エネルギーを両立させることはできません。

夏を快適に過ごすために工夫されてきた日本の民家の知恵を、現代の住宅にも 応用することがとても大切になります。気密化を十分に進め、隙間風を無くし て計画換気を可能にした住宅でも、風通しに関する配慮は欠かせません。

また、宅地の狭小化によって昔のように深い庇を設けることができない場合て
も、外付けのブラインドや日射遮蔽装置の設置によって、空調なしでも快適に 過ごせる期間を大きく拡張させることができるます。

「冬はいかなる所にも住まる」とは、創意工夫によって寒さは解決することが できるということです。「出アフリカ」以来、様々な社会的適応能力を身につ けてきた現代人にこそ、新たな住まい方の創生が求められているようです。



 
 
室内気候研究所 主席研究員
工学博士
石戸谷 裕二
■公式 HP: http://iwall.jp
■ブログ:http://blog.iwall.jp

Lesson 12 微弱な気流が「寒さ」の原因になる。

盛夏には一服の清涼感を醸し出してくれる「そよ風」も、冬の室内では「寒さ不快」の原因になります。

冬季の室内で生じる微弱気流はFig.1に示すように、「すきま風」「コールド・ドラフト」「換気・空調」によって生じることが知られています。気密性能を改善すると、室内から「すきま風」排除して不快を低減する効果があります。

また窓の断熱性能を上げると、ガラス面で生じる冷気流「コールド・ドラフト」を防止できます。U=1.0 [W/m2/K]以下のトリプルガラスを採用した住宅では、北海道でも冷気流を感じることはほとんどないでしょう。

一方で「換気」やエアコンなどの設備から吹き出される気流には十分な注意が必要になります。Fig.2に冷気流の速度と体感温度の低下の関係を、気流への暴露時間ごとにまとめて比較しました。

エアコンやFF式ストーブで生じる気流の速度は、およそ0.8[m/s]ほどです。この気流の中に3時間滞在すると、体感温度は6.5 ℃も低下してしまうのです。暖房設定温度の推奨値が20℃であるにもかかわらず、エアコンの設定を26℃以上にしなければ寒く感じてしまうのは、室内気流の影響ですね。

室内気流が生じない放射型の暖房では、体感温度の低下も1.5℃ほどですから、設定室温を22℃にしておけば十分な暖かさが得られます。つまり設定室温を低めに抑えても同じ暖房感が得られるのですから、放射暖房の方がエアコン暖房よりも経済的である、ということができます。

さらに、空気中の水蒸気量が同じであれば空気温度が低いほど相対湿度も高く維持できますので、喘息などの呼吸器疾患やアトピー性皮膚炎の発症予防にも効果的であると言えるでしょう。

冬の暖かさと省エネルギーには、暖房設備の選択も大切です。



 
 
室内気候研究所 主席研究員
工学博士
石戸谷 裕二
■公式 HP: http://iwall.jp
■ブログ:http://blog.iwall.jp

Lesson 11 生活で発生する水蒸気で、カシコク調湿。

冬の健康と相対湿度の関係について考えてきました。どうしても室内が乾燥し がちな冬。植物に水をあげて蒸散させたり、洗濯物を室内で乾燥させたり。 でも、暮らしの工夫だけでは、なかなか湿度は維持できないものです。

暮らしの中で発生する水蒸気の量は、1日 20 リットル!
2 リットルのペットボトルで10本分も発生する水蒸気を換気で排出せず、もっ と積極的に利用する方法なないのでしょうか。

健康生活のために必要な住宅の環境性能には断熱性能だけでなく、調湿する能 力もあります。古くから土蔵などの壁に使われてきた漆喰や、珪藻土などの天 然素材が湿度を調整する性能を持っていることは広く知られています。そして 建材が持つ調湿性能を客観的に評価する基準が、調湿性能判定基準です。

下の図をご覧ください。断熱材でできた2個の小箱の内側に、調湿建材とビニ ールクロスを各々貼り付けて、各々の調湿性能を比較してみました。箱の中に 茶碗1杯分のお湯を入れて、内部の相対湿度の変化を観察してみます。

赤の線が調湿建材、青の線が一般的に内装で使われているビニールクロスの箱 です。ビニールクロスは合成樹脂でできており、水分を吸収することができま せんから、茶碗を入れると同時に相対湿度が急上昇します。写真では見づらい のですが、箱の前面に設置した塩化ビニールの板には結露が発生。真菌、カビ、 ウイルス生育の原因にもなる、相対湿度 60%以上の環境となってしまいました。

一方、調湿建材を貼り付けた箱では設置直後に相対湿度がやや上昇しますが、 その水蒸気を壁が自然に吸収。機械的な制御をすることなく、人間の快適範囲 である40から60%の環境に整えてくれます。自然の摂理の不思議さです。

蓄えられた水蒸気は、室内が乾燥してくる日中に壁から放散されて湿度を調整 してくれます。安定した湿度環境を、機械を使わずに、上手に調整してくれる のです。加湿器の使用で懸念される水蒸気過多による結露の被害も、調湿建材 なら心配はいりません。もちろん電気代もフリーですね。

手入れの容易さ、経済性、施工の手間の簡略化など、生活者ではなく施工側の 都合で徐々に排除されてきた土壁が持つ機能。便利さの追及で、機械に頼らな い生活が、どんどん手の届かないところへと追いやられていませんか?

古くからの生活の知恵を現代に生かす。最先端技術の調湿建材には大きな可能 性があります。健康環境を考えるとき、まず初めに「断熱」のお話をしてきま したが、その他にも「調湿」など大切な環境調整の性能がまだあるようです。

機械やエネルギーに頼ることなく、自然の摂理を利用して健康を守る。
持続可能性を高めるためにも、考慮すべきコンセプトではないでしょうか。



 
 
室内気候研究所 主席研究員
工学博士
石戸谷 裕二
■公式 HP: http://iwall.jp
■ブログ:http://blog.iwall.jp

Lesson 10 風邪の予防には、上手な湿度維持が有効?

冬の4大死亡原因の一つとして恐れられている呼吸器系の疾患「肺炎」を引き起こすこともある風邪。健康の大敵「インフルエンザ」は戦争の勝敗にも影響しかねないという史実が語源だと言われています。
風邪の予防には原因となるウイルスや細菌に対する正確な知識が不可欠です。

冬になると急に増加するインフルエンザの患者さん。その原因はインフルエンザ・ウイルスが喉や鼻の粘膜に付着して人間の細胞に侵入することです。細胞を宿主として次第に体内で増殖し、発熱や咳などの辛い症状を引き起こします。

それではインフルエンザ・ウイルスは、どうして冬に増殖するのでしょうか?
下図に示したように、室内の相対湿度が40%を下回るとウイルスの増殖に好適な環境となり、人間の細胞はウイルスに感染しやすくなります。

室温維持のため暖房を使うと室温が上昇し、湿度は相対的に低下していきます。高断熱住宅の実測調査でも日中の室温が日射の影響で30℃以上に上がり、相対湿度は20%に低下する事例が報告されています。

アトピー性皮膚炎、喘息などのアレルギー性の疾患も、相対湿度40%以下の環境で発現頻度が急激に上昇します。そこで量販店の冬の定番商品、加湿器の出番となるわけです。

でも低断熱の住宅で加湿器を使用することは、本当に健康的なのでしょうか?
過剰な加湿が、新たな健康リスクを生じさせることに注意です!

これまでに何度か説明してきましたが、断熱性の低い家では窓ガラスや壁の表面温度がとても低く、冷たくなります。加湿をしない状況でも結露が生じている住宅では、加湿により重大な健康被害が生じる可能性があります。

結露は住宅や家具を傷めてしまうばかりでなく、カビや細菌の温床ともなりかねないのです。土壁などの伝統的な内装構法には空気中の水蒸気を蓄えて、調整する能力がありますが、現在最も普及している樹脂系の内装材「ビニールクロス」は、水蒸気を貯めておく機能がありません。一般的な家庭では、炊事や入浴、洗濯物の乾燥などで一日に20リットルもの水蒸気が発生しています

が、水蒸気を貯めておく能力がない現代の住宅では、換気によって水蒸気は室外へと排出されてしまい、室内にとどめておくことができません。

乾燥や結露による細菌の繁殖を防止し、風邪の原因を室内から排除するには?
最も有効な対策は「断熱」! そして調湿性能を持った建材の使用です。

加湿器や乾燥機の使用で健康環境を維持しようとする前に、新築時に断熱を十分強化して室内の表面温度を高く保ち、自然素材の調湿建材を採用することで、室内に発生した水蒸気を上手に利用して風邪を予防しましょう。



 
 
室内気候研究所 主席研究員
工学博士
石戸谷 裕二
■公式 HP: http://iwall.jp
■ブログ:http://blog.iwall.jp

Lesson 9 足裏の温度が、健康リスクの目安に。

断熱不足による浴室の室温低下が、冬季の CPA 発生の引き金に!

「断熱」によって家の中に冬の寒さを入り込ませない。浴室からヒートショッ クを排除することは、冬季の健康法の第一条件です。

それでは、室温が維持されていれば本当に CPA は発生しないのでしょうか?
今回は、以外に見落とされている CAP の発生原因について考えてみましょう。

人間は代謝によって体内で産熱し、これを外部に放散することで体温を維持し ています。今回は、足裏で生じる熱の移動に着目します。

同じ温度の物体でも種類(熱伝導率)が違うと、暖かさには違いがあります。 木製デスクがスティールデスクより接触した時に暖かく感じられるのは、木の 熱伝導率(熱の伝わりやすさ)が金属よりも小さいからです。
「木のぬくもり」の物理学的な説明にもなっていますね。

入浴時に脱衣室で裸足になった時、足裏からの熱の伝わり易さは床の仕上げ材 料によって異なります。下図でもわかるように、天然の石やタイル、コンクリ ートではカーペットの 10 倍以上の熱が足裏から急速に奪われます。



人間の足裏温度は通常 27°Cに保たれていますが、これが 24°Cになると血圧が 30 から 60mmHg も急上昇します。冷たい床によって足裏温度が 24°C以下に なる状況は、CPA 発生の危険信号と言えるでしょう!

床の断熱が施され室温が十分に確保されている状態で、床に直接足を接触させ た時の足裏温度と床の材料との関係を計算した結果が下の図です。

浴室の床材として使用されることの多いタイルでは、床温度が 18°Cでも足裏温 度は 22°Cとなり CPA 危険範囲を超えてしまいます。また、住宅の水回りに使 われることが多い樹脂系の仕上材でも、危険温度になることがわかりますね。

「断熱」に十分気をつけた住宅でも、床材の選択によっては CPA 発症のリスク が増加してしまうことを忘れてはいけません。老人と同居されているご家庭で は、トイレ、脱衣室周りの床にカーペットやラグ、畳表などを使用したり、ス リッパを常時着用したりすることが、健康を維持する上で大切なのです。



 
 
室内気候研究所 主席研究員
工学博士
石戸谷 裕二
■公式 HP: http://iwall.jp
■ブログ:http://blog.iwall.jp

Lesson 8 温暖地の冬は、暖かくて健康的なのか?

入浴中の心肺停止(CPA)発生率が低い北海道の浴室温度は20℃。
温暖地の浴室よりも断然暖かく、健康的であることが明らかになりました。

Lesson7で紹介した東京都健康長寿医療センター研究所の調べでは、北海道の高齢者1万人あたりのCPA発生率は、沖縄県に続いて全国ベスト2位!
四国、九州などの温暖地の県が健康リスク上位に並びます。

ワースト20までの県は健康リスク(CPA発症率)が北海道の2倍以上にも!!
ワースト1位香川県では、北海道の3.5倍にまでCPAリスクが高まります。

入浴中CPA発生頻度は季節性が明らかになっており、冬季は夏季の11倍もの事故が発生します。浴室の室温が低いとCPAに陥りやすいのです。どうして寒冷地北海道のCPAリスクは低いのでしょうか。

北海道の冬季死亡率は1970年代まで全国ワースト1でした。断熱手法が確立されていないこの時代には室内の空気温が外気温度と同程度にしか維持できず、高温・灼熱の石炭ストーブと、-20℃の寒さが室内に同居する住宅も珍しくありませんでした。寒さを表現するために濡れたタオルをクルクルと回し、凍結させて棒状にする実験映像を見かけることがありますが、この現象が室内で再現できるような住宅が一般的だった時代です。

80年代には「豊かで誇りある冬の生活を創出すること」を目的とした、産官学の共同研究が北海道でスタートします。北欧、ドイツ、スイス、カナダなど、海外の寒冷地住宅を参考にしながら、日本の伝統的な住宅構法を高断熱・高気密化する手法が開発され、冬の室内気候も徐々に改善されるようになりました。

現在の北海道では省エネルギー基準を満足する住宅は当たり前。30年後までの規制強化を見越した「近未来型パッシブ住宅」も数多く建設されています。
一方で、全国の断熱構法の普及は未成熟で、住宅ストック全体でいうと無断熱が約50%、現行法令に合致した住宅も全体の5%程度に過ぎません。

住宅の「断熱化」は、光熱費の抑制を主な目的として評価されることが多いのですが、CPAリスクに伴う医療費の増加、さらに介護費など社会的費用全体を考慮した健康リスク度による断熱構法の評価が大切になります。

健康第一の住宅なら、まず「断熱性能」を向上させることが必要ですね。



 

 
室内気候研究所 主席研究員
工学博士
石戸谷 裕二
■公式 HP: http://iwall.jp
■ブログ:http://blog.iwall.jp

Lesson 7 入浴中の心肺停止は、交通事故死の4倍以上?

交通事故死の4倍以上の高齢者が、住宅で心肺停止に!

東京都健康長寿医療センター研究所は、年間17,000人もの方々がヒートショックに関連した「入浴中急死」に至った、との衝撃的な報告を行いました。その数は、年間の交通事故死者数の4倍にも相当します。

原因は? 予防法は? 今回は冬の健康な暮らしについて考えてみます。

注目したいのは死亡した方の80%以上が、65歳以上の高齢者であること。
30代の若さで自宅を新築し、職務を全うして無事に退職。これからの人生を心豊かに過ごそうとしていた人が、入浴中の事故で急死してしまう。本人はもちろん、ご家族の方の心情を思うと、とても悲しい気持ちになります。

下図を見ると浴室での死亡者数は8月に比べて、1月には約11倍にも達することから、死亡原因には季節性があることが浮き彫りになります。断熱性が低いかあるいは無断熱の住宅では、浴室、脱衣室の室温はほぼ外気温に等しく、冬季間には10℃以下にまで冷え込むことがあります。脱衣によって冷気にさらされた皮膚は放熱を抑制するために抹消の毛細血管が収縮。血圧が急に上昇します。ここで脳血管疾患や心疾患で倒れられる方も多数いるようです。

さらにこの状態で高温の湯船に浸かると抹消血管が一気に拡張して血圧が低下。気を失ってしまい、湯船で溺水、発見が遅れると溺死に至ります。

それでは、これらの疾患をどのように予防したら良いのでしょうか?
一番の解決方法は、新築時に十分な「断熱」をすること。

住宅の新築では最新の設備や豪華な内装に目が行きがちですが、自身の老後を含め家族の健康を守るためには、住宅の基本性能である「断熱性能」を十分に高め、健康被害を最小限にとどめることが必要です。
更新や維持管理に手間と費用のかかる付帯設備に予算を配分するくらいなら、老後を安心して暮らせる見えない部分に予算を振り向けるのが合理的です。

断熱改修も有効な手段ですが、どうしても難しい場合には、まず脱衣室、浴室に暖房器具を設置して室温を確保するようにしてください。また、浴槽へのお湯張りにシャワーを利用することで、浴室内の温度を高めておく方法も意外と効果的です。

新築時の予算配分で変わる老後の健康問題。
ソーラパネルを設置しても、健康被害は減らせません!
介護など家族への負担も考慮して、カシコイ住宅をつくりましょう。



 
室内気候研究所 主席研究員
工学博士
石戸谷 裕二
■公式 HP: http://iwall.jp
■ブログ:http://blog.iwall.jp

Lesson 6 「暖房」しても、どうして寒いの?

エアコンの設定温度は26℃なのに、どうしても寒い室内。

厚着をするか、入浴してさっさと眠るか?
住宅の冬の「寒さ」は設備だけでは解決できない、とても厄介な現象です。

暑さ寒さ感(いわゆる温冷感)に関する研究は1920年代の初頭から米国で行われるようになり、端緒となる論文が公衆衛生学の専門誌に発表されました。温冷感の研究は温感の科学的解明が目的であると同時に、寒さや暑さと疾病原因との因果関係を探る、という視点が当初から見受けられるのが特徴です。

昔から室温を測る棒状温度計は「寒暖計」と呼ばれてきました。部屋の空気の温度は、人間の温冷感と強い相関関係があるからですね。しかし、空気の温度だけでは部屋の寒さをはかれないのも事実です。

寒い冬の日、戸外の空気は冷たくても焚き火にあたると暖かさを感じます。周囲の空気温度がほとんど変わらなくても、日射や放射熱を受けるととても暖かく感じるのですね。夏の木陰は、とても涼しく感じるものです。

気温以外にも壁や床、天井の表面温度(放射温度)、隙間風やエアコンなどで生じた微弱な気流、相対湿度などが温冷感の因子として挙げられます。また、人間がどんな行動をしているのか(つまり代謝量の大小)や、着衣の質と量など、環境以外の因子も考慮する必要があります。

エアコンの設定温度を高めにしても寒く感じるのは、壁の温度が低かったり、エアコンの温風が直接人体に当たっていたりする場合に多く見かけられる現象です。また、窓ガラスの断熱性能が低いと冷たい気流が床面付近に流れこむ「コールド・ドラフト」という現象も、寒さの原因として見逃すことができません。

一方で、夜になってもなかなか涼しくならない夏場の二階部屋の環境などは、昼間にたっぷりと熱せられた屋根から侵入した熱が、時間遅れを伴って室内に侵入してくることが原因です。


解決策はまず「断熱」!

冬暖かくて、夏涼しい家を作るなら、まずは住宅の断熱性能を改善することが不可欠です。

強力な設備とエネルギーに頼ることなく、「断熱」によって、生活の質を容易に、合理的に向上させましょう。
 
図1 温冷感に関連した室内気候の6要素
 


図2 温風吹出口だけが暖かい、冬の室内環境(温風暖房機の測定例)
 
 

 
室内気候研究所 主席研究員
工学博士
石戸谷 裕二
■公式 HP: http://iwall.jp
■ブログ:http://blog.iwall.jp

Lesson 5 住宅に関する不満は「寒さ」が第1位。

2年以内に住宅の建設を考えているユーザーに「改善したい住まいの悩み」をアンケート調査した結果が報告されています[1]。

温暖地と言われる地域を含め、住まいの悩みの第1位は「寒さ」。

その他にも「結露」「暑さ」「冷暖房費」など、断熱性能の低さに起因する不満が圧倒的な多数を占める結果となっています。北海道で高断熱・高気密化住宅の啓蒙、普及活動が始まってから約40年。冬季死亡率の抑制に大きく貢献してきたこの活動も、全国レベルではまだまだ道半ばなのかもしれません。

全国の住宅ストック数は約6,000万戸とも言われていますが、現在の省エネルギー基準に合致している住宅は5%程度。39%の住宅では、断熱材が全く施工されていないとの調査結果もあります。断熱化の目的を省エネルギーといった経済的な指標だけで評価していては、普及も促進できないのかもしれません。

設備機器の交換や設置は「見える化」がしやすく、効果を判断しやすいという利点があります。一方で、高断熱化や断熱リフォームはなかなか効果が見えにくいものの、生活の質の向上、とりわけ病気要因の排除という意味で、効果は顕著です。もっと皆さんに知ってもらう必要がありそうです。

厚生労働省の統計によれば、毎年18,000人もの尊い命が住宅内のヒートショックによって失われています。交通事故が原因の死者数を大きく上回りますが、新聞などで報道されることが少ないせいか、この事実はあまり認識されていないようです。特に、居間とトイレ、脱衣室、浴室との温度差は脳血管疾患や心疾患との因果関係が指摘されており、早急な対策が必要かと思います。

「ZEH」の普及に向け断熱性能の向上が議論されています。エネルギー需給と安全保障。いずれもマクロ的視点では大切な課題ですが、最も重要なのは国民の生活の向上と健康維持にあることは言うまでもありません。コタツに縛られ、運動不足になりがちな冬の生活。より活動的な生活で、健康・長寿を祝うことがごく普通になるまで、住宅の性能向上活動が遅滞してはいけないのです。

「断熱」ファーストな家づくり が、健康生活の原点なのですから。
 
 

室内気候研究所 主席研究員
工学博士
石戸谷 裕二
■公式 HP: http://iwall.jp
■ブログ:http://blog.iwall.jp

Lesson 4 室内気候の変化が、健康生活を作る。

私たちの直接の祖先であるホモ・サピエンスは、10万年前にアフリカで誕生したと考えられています。ほぼ数万年をかけてユーラシア大陸全域にその居住範囲を広げ、1万年前には南アメリカの南端にまで到達しました。

この「出アフリカ」と全地球的な拡散を支えたものは何か?

それは、生存に不可欠な食料調達技術の高度化と、衣服、住居を含む社会的適応能力の獲得にあります。時に厳しい自然の変化を緩和し、安定して子孫を産み育てるためには、快適な「スミカ」を得ることは不可欠だったに違いありません。機械設備が誕生するまでの「スミカ」は、地域の気候風土の変動を抑制して、生存に最低限必要な環境を創り出すことが使命でした。

一方、産業革命以降の住宅にはエネルギーの変換装置である暖房や冷房、照明や換気装置が導入され、健康的な環境を徐々に整えていくことになります。都市では上下水道も普及し、平均寿命の延長に大きく貢献しました。20世紀初頭には50歳前後であった平均寿命も、現在では80歳を超えるまでになりました。医療技術の進歩を考慮しても、急激な寿命の伸長は目を見張るばかりです。

一方で、室内での労働や学習時間が長時間化している現代人には、これまでとは違ったストレスが過度にかかる環境に晒されるようになり、自律神経系の疾患を抱える人も年々増加しています。自然界に働き「スミカ」で休むといった原体験が逆転し、室内で働き自然に遊ぶ、といった光景が普通になりました。

環境形成に欠かせない設備は、大きな能力を持つ機械を制御しながら使用して、環境を一定に保つといった設計思想が長い間支配してきました。一方で、断熱性能を高め設備の容量を小さめに設計すると室内環境の変動幅は相対的に増大し、快適環境の範囲内で自然の変動を再現できることも知られています。強大なパワーで自然をねじ伏せるのか?機械の力を最小限にとどめて、自然の変動を許容して共生するのか?どちらが人間にとって健康的なのでしょう?
 
 
 
 

室内気候研究所 主席研究員
工学博士
石戸谷 裕二
■公式 HP: http://iwall.jp
■ブログ:http://blog.iwall.jp

Lesson 3 生活リズムを維持することの大切さ。

生物には体内時計が備わっていることを初めて発見したのは、フランスの科学者ジャン=メラン。体内時計は、概日リズム(がいじつリズム: circadian rhythm:サーカディアン・リズム)とも呼ばれています。

動物の体内時計は24時間周期の昼夜の光の変動リズムによって生成し、温度、食事やストレスなどの外的刺激によって修正されると言われています。

出生後の赤ちゃんが昼夜に関係なく2〜3時間ごとに起きて泣き出すことは、みなさんが経験していることかと思います。生後16週目頃からは体内時計が徐々に修正され、1年から数年をかけて正確な24時間周期になっていきます。体内時計の生成には男女差があり、女子では小学校低学年の頃に、男子はこれよりも遅く高学年から中学生の頃にようやく体内時計が正確に働き始めます。

体内時計は、遺伝子の複製が昼間の紫外線の影響を受けることを避けるために獲得されたと考えられており、ヒト成長ホルモンが睡眠中の夜間にしか分泌されないことも、これに関係していると考えられます。

体内時計が正常に働かなくなることをフリーラン現象と言いますが、睡眠障害、発達障害、学習障害など多くの疾病の原因として認知されています。最近、大学の授業が始まっても講義に集中できない学生が増えています。彼らの体温を測定してみると、概ね36℃以下の低体温が観察され、朝になり活動を始めても体内時計が夜のままであることが原因としてあげられます。

室内での活動が長時間化し、しかも精神的に高度な活動を要求される現代。太古からの生活リズムが明らかに崩壊している現代人の生活を振り返る時、体内時計が健康に密接に関連していることを、もう一度認識しなくてはいけません。

現代人が生活する室内空間の温度は空調設備でほぼ一定に保たれ、照明設備は終日の精神活動を要求します。近年では、長時間労働によるストレスで精神的な疾患に陥理、最悪の事態となるケースも少なくありません。

特に体内時計の狂いは、子どもの成長に悪影響を及ぼすことがわかっています。室内気候は自然と同様のリズムで周期的に変動させることが必要です。もちろん変動幅が大きいと不快感を醸成しますので、リズムと変動幅を適切に設計しなくてはいけません。室内気候設計の要諦は、自然から学ぶということです。

「早寝、早起き、朝ごはん」

いくら長時間学習しても、子供の学習成績が上がるとは限りません。適切な室内気候下における生活リズムの維持と、ストレスの発散がとても大切です。
朝の日射と冷気に直接さらされるだけで、子供の体内時計はリセットできます。
(参考文献)中山昭雄著「温熱生理学」(理工学舎)
 
 
 

室内気候研究所 主席研究員
工学博士
石戸谷 裕二
■公式 HP: http://iwall.jp
■ブログ:http://blog.iwall.jp

Lesson 2 日本人が最も大切にしているのは「健康」。

内閣府は日本人を対象とした「幸福度に関する判断基準」に関するアンケート結果を公表しています。ここからは、日本人の本音が垣間みえてきます。

解答(重複解答あり)で第1位を占めたのは、「幸福のためには健康が第一」。およそ66%の日本人は「健康」が幸福の第一条件であると解答しました。
続いて「経済的なゆとり」「家族関係」が、ほぼ同率で続きます。

意外にも「趣味」や「楽しみ」といった余暇型は全体の25%程度に過ぎません。さらに「安定した仕事」「仕事のやりがい」といった就業充実型は20%以下。
「社会への貢献」「地域の人たちとの関係」といった社会連携型は、ごく少数に止まる結果となりました。

逆説的に言えば、現代日本人は「健康」「家計」「家族関係」の将来像に漠然とした不安を抱えながら生活をしている、ということなのかもしれません。

目標とすべき室内気候のあり方について、よく質問されることがあります。
筆者の回答は・・・。

「良い室内気候」とは「良いうち」を作ることです。「うち」とは「家」。「うち」とは「内側」。「うち」とは「自分」。「うち」とは「家族」。

つまり、自分や自分の大切な家族が豊かで充実した人生を安心して送ることができる、そんな住宅の室内環境を創造して提供すること。これが「室内気候」設計の目標であり、意義なのです。住宅の設計は限られた予算の中で施主の要望をいかに叶えるのかという、経済合理性を中心とした概念ではありません。

立派な床柱や欄間、高価な大理石の床よりも価値のある「健康」と「家族」。
限りある人生の時間と資産を有効に活用して、たった一度きりの人生を豊かにしてくれる住宅が、真に求められていると思います。
 
 

室内気候研究所 主席研究員
工学博士
石戸谷 裕二
■公式 HP: http://iwall.jp
■ブログ:http://blog.iwall.jp

Lesson 1「快適さ」は、本当に贅沢なのか?

一年を通して快適な環境で暮らしたい。でも、光熱費が心配。
こんな声をよく耳にします。中には快適な環境で子育てをすると、もやしっ子ができてしまうから、多少不快な方が教育には良い、といった乱暴な意見もあるようです。健康的な室内環境を考える上で「快適さ」の持つ意味は重要です。

人間は生存に必要な環境を選択するために、視覚や聴覚、皮膚感覚といった感覚を持っています。いわゆる五感ですね。受容器で受けた環境刺激は大脳で評価され、服を脱ぎ着したり、木陰に入ったり、暖房のスイッチを入れたりと、生存のために行動を起こします。このような意味で、感覚は危険を察知するために人間に備わった機構、ということができるかもしれません。

「快適であるということは、自分の生存にとって安全だ」と自分が認識している状態である、と定義することができます。逆に「不快」な状況は、健康に対する危険信号であるとも言えます。室内気候を快適な状態に保つことは、食や衣と同様に健康を考える上で重要な要素であることは言うまでもありません。

近年の健康ブームで、健康食品をはじめとした様々な商品やサービスが注目を集めています。一方で暖冷房費を含む光熱費は逆進性が高いことが知られており、所得の伸びない現在の状況下では、光熱費を節約するためにエアコンをこまめに入り切りするなど、家計防衛の工夫がされています。

しかし、不快感が危険を知らせているのに行動を起こさず、体調を崩したり、最終的に病気になったりしたのでは、本末転倒です。マクロの暖冷房費は、医療費や介護費といった社会保障費との関連性の中で議論されるべき、との主張も現代社会では徐々に合理性をもち始めています。

英国では光熱費が世帯収入の10%を超過する家庭を「Fuel Poverty」と定義して、貧困家庭の生活環境水準を向上させる運動が展開されています。光熱費を抑制しつつ、年間を通して快適な住環境を提供する。室内気候を提案・創造している建築家や設備設計者、エネルギー供給業者とともに、需要家である消費者など、多くのステークホルダーが協力してこの目標を達成することが社会的に求められています。日本の現状はいかがでしょう?我慢は美徳ですか?

 
 

室内気候研究所 主席研究員
工学博士
石戸谷 裕二
■公式 HP: http://iwall.jp
■ブログ:http://blog.iwall.jp